| 查看: 2393 | 回复: 2 | |
[求助]
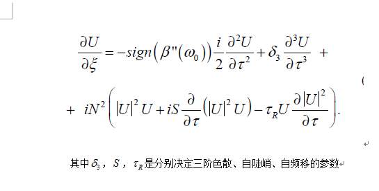
有没有求解标准形式的非线性薛定谔方程的的matlab程序啊?? 已有1人参与
|
|
|
|
|
|
2楼2018-11-27 15:13:31
|
|
jsuphyfq金虫 (小有名气)
|
|
|
3楼2018-11-30 09:09:12
|
|













回复此楼