| ²é¿´: 1705 | »Ø¸´: 6 | ||
zangchao321гæ (СÓÐÃûÆø)
|
[ÇóÖú]
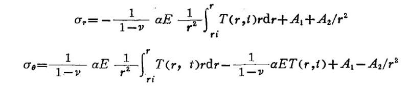
ÇóÖú¹ØÓÚ½ðÊô¹Ü±ÚÈÈÓ¦Á¦µÄ¼ÆË㹫ʽµÄÎÊÌâ ÒÑÓÐ1È˲ÎÓë
|
|
![]() |
||
|
|
||
peterflyer
|
¡¾´ð°¸¡¿Ó¦Öú»ØÌû
¸Ðл²ÎÓ룬ӦÖúÖ¸Êý +1
|
|
|
2Â¥2014-05-19 18:22:41
|
|
|
peterflyer
|
||
|
3Â¥2014-05-19 18:25:33
|
|
|
zangchao321гæ (СÓÐÃûÆø)
|
||
![]() |
||
|
4Â¥2014-05-20 16:21:49
|
|
|
peterflyer
|
||
|
5Â¥2014-05-20 20:16:56
|
|
|
zangchao321гæ (СÓÐÃûÆø)
|
||
![]() |
||
|
6Â¥2014-05-21 09:21:54
|
|
|
peterflyer
|
||
|
7Â¥2014-05-21 13:47:30
|
|














»Ø¸´´ËÂ¥
