版块导航
正在加载中...
客户端APP下载
论文辅导
调剂小程序
登录
注册
帖子
帖子
用户
本版
应《网络安全法》要求,自2017年10月1日起,未进行实名认证将不得使用互联网跟帖服务。为保障您的帐号能够正常使用,请尽快对帐号进行手机号验证,感谢您的理解与支持!
24小时热门版块排行榜
>
论坛更新日志
(3380)
>
虫友互识
(406)
>
导师招生
(400)
>
文献求助
(259)
>
考博
(217)
>
休闲灌水
(206)
>
硕博家园
(120)
>
招聘信息布告栏
(113)
>
考研
(89)
>
找工作
(54)
>
论文投稿
(51)
>
博后之家
(50)
>
公派出国
(49)
>
绿色求助(高悬赏)
(39)
>
基金申请
(31)
>
论文道贺祈福
(30)
小木虫论坛-学术科研互动平台
»
专业学科区
»
数学
»
计算数学
»
这样的积分,如何数值计算?
3
1/1
返回列表
查看: 499 | 回复: 2
只看楼主
@他人
存档
新回复提醒
(忽略)
收藏
在APP中查看
squark
铜虫
(初入文坛)
应助: 1
(幼儿园)
金币: 508.2
帖子: 30
在线: 54小时
虫号: 274194
注册: 2006-08-26
性别: GG
专业: 核物理
[
求助
]
这样的积分,如何数值计算?
已有1人参与
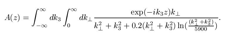
如图所示,请大家帮忙给我支个招,给一个z值,计算结果应该是实数。
integral.jpg
回复此楼
» 猜你喜欢
“人文社科而论,许多学术研究还没有达到民国时期的水平”
已经有6人回复
体制内长辈说体制内绝大部分一辈子在底层,如同你们一样大部分普通教师忙且收入低
已经有16人回复
版面费该交吗
已经有13人回复
面上可以超过30页吧?
已经有6人回复
网上报道青年教师午睡中猝死、熬夜猝死的越来越多,主要哪些原因引起的?
已经有4人回复
为什么中国大学工科教授们水了那么多所谓的顶会顶刊,但还是做不出宇树机器人?
已经有10人回复
什么是人一生最重要的?
已经有4人回复
» 本主题相关价值贴推荐,对您同样有帮助:
数值取值范围计算
已经有4人回复
MATLAB的计算可靠不可靠?
已经有14人回复
数学积分的问题
已经有7人回复
如何用matlab求积分中一个变量的值,积分的值已知。
已经有5人回复
数值解中出现的数值伪震荡是怎么一回事?
已经有7人回复
数值积分方法求助
已经有6人回复
怎样用matlab列积分方程的曲线~~~~~~~
已经有8人回复
电量Q怎么计算?
已经有13人回复
关于delta函数的高斯积分问题
已经有32人回复
求助如何用Matlab求解复杂的不规则积分区间的二重定积分的数值解?
已经有3人回复
MATLAB一个数值积分的问题
已经有6人回复
matlab中如何实现高精度计算
已经有4人回复
请教一个积分用留数定理计算的问题
已经有15人回复
格林函数 积分 数值计算
已经有10人回复
Matlab如何实现这样的计算:赋值——计算——判断结果——重复
已经有10人回复
“数值分析”、“数值解法”等中常出现的“数值”一词是什么意思?
已经有17人回复
高斯计算中zORA方法是否可以使用
已经有9人回复
这个积分怎么算?
已经有22人回复
matlab求数值积分?
已经有10人回复
1楼
2014-05-14 00:34:07
已阅
回复此楼
关注TA
给TA发消息
送TA红花
TA的回帖
第七天堂
金虫
(著名写手)
应助: 7
(幼儿园)
金币: 821.4
散金: 2385
红花: 5
沙发: 1
帖子: 1113
在线: 146.1小时
虫号: 2172696
注册: 2012-12-07
专业: 等离子体物理
果断matlab
[ 发自小木虫客户端 ]
回复此楼
啦啦
2楼
2014-05-14 01:58:05
已阅
回复此楼
关注TA
给TA发消息
送TA红花
TA的回帖
虚空中的幻影
金虫
(正式写手)
应助: 9
(幼儿园)
金币: 1563.4
散金: 694
帖子: 335
在线: 232.7小时
虫号: 1012166
注册: 2010-05-05
性别: GG
专业: 核物理
【答案】应助回帖
感谢参与,应助指数 +1
很简单 ,设二维数组,用Gaussian Quadrature算就好
赞
一下
回复此楼
3楼
2014-05-14 15:26:31
已阅
回复此楼
关注TA
给TA发消息
送TA红花
TA的回帖
相关版块跳转
数理科学综合
机械
物理
数学
农林
食品
地学
能源
信息科学
土木建筑
航空航天
转基因
我要订阅楼主
squark
的主题更新
3
1/1
返回列表
如果回帖内容含有宣传信息,请如实选中。否则帐号将被全论坛禁言
普通表情
龙
兔
虎
猫
百度网盘
|
360云盘
|
千易网盘
|
华为网盘
在新窗口页面中打开自己喜欢的网盘网站,将文件上传后,然后将下载链接复制到帖子内容中就可以了。
信息提示
关闭
请填处理意见
关闭
确定