| 查看: 1642 | 回复: 9 | ||
[求助]
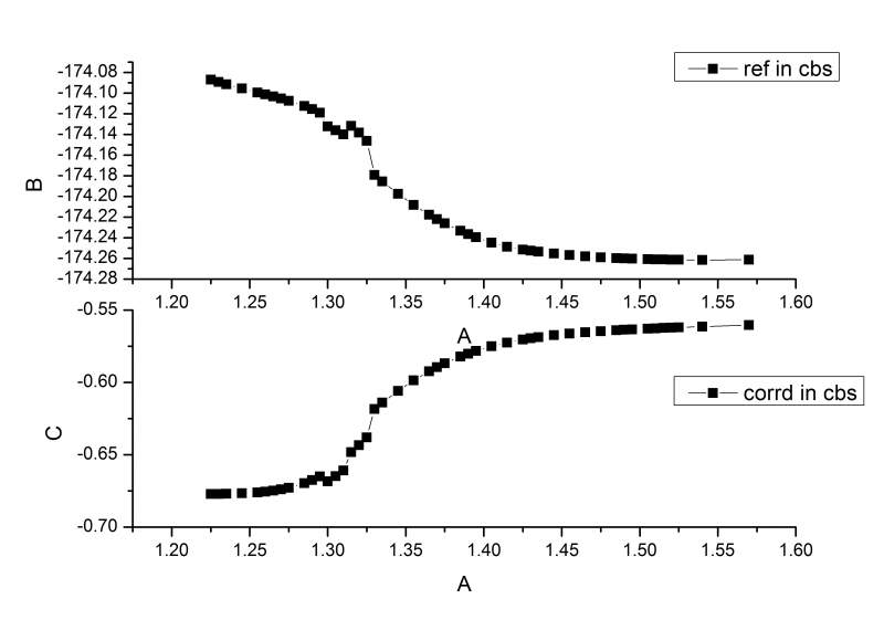
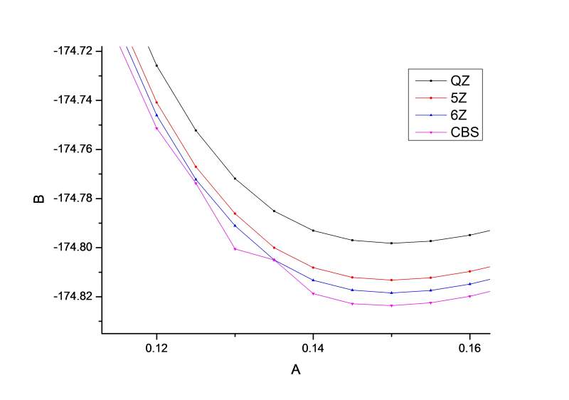
用MOLPRO中的基组外推发现结果有跃变? 已有2人参与
|
||
|
|
||
luqing6879木虫 (著名写手)
|
||
![]() |
||
|
2楼2014-05-10 00:51:43
|
|
|
|
3楼2014-05-10 22:06:55
|
|
|
孙1986金虫 (正式写手)
|
||
![]() |
||
|
4楼2014-05-11 12:48:32
|
|
|
【答案】应助回帖
★ ★ ★ ★ ★ ★ ★ ★ ★ ★ ★ ★ ★ ★ ★ ★ ★ ★ ★ ★
感谢参与,应助指数 +1 kent1022: 金币+20 2014-05-12 16:14:37
|
||
|
5楼2014-05-11 13:55:08
|
|
|
luqing6879木虫 (著名写手)
|
|
|
![]() |
||
|
6楼2014-05-12 00:33:27
|
|
|
|
7楼2014-05-12 14:20:41
|
|
|
luqing6879木虫 (著名写手)
|
||
![]() |
||
|
8楼2014-05-12 14:59:39
|
|
|
|
9楼2014-05-12 20:24:12
|
|
|
|
10楼2014-05-12 22:52:23
|
|














回复此楼
