| ²é¿´: 902 | »Ø¸´: 1 | ||
zhuyunfyгæ (СÓÐÃûÆø)
|
[½»Á÷]
¾ùÔȵç×ÓÆø¶¯ÄÜÃܶÈÓ뵱ǰʵ¼ÊÌåϵ¶¯ÄÜÃÜ¶ÈµÄ¶Ô±È ÒÑÓÐ1È˲ÎÓë
|
» ±¾Ö÷ÌâÏà¹Ø¼ÛÖµÌùÍÆ¼ö£¬¶ÔÄúͬÑùÓаïÖú:
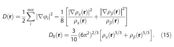
¹ØÓÚÃܶȷºº¯Öеĵ¥Á£×Ó·½³Ì
ÒѾÓÐ12È˻ظ´
ï®Àë×Óµç³Ø¸ßÄÜÁ¿Ãܶȸº¼«Åä·½
ÒѾÓÐ17È˻ظ´
Á¿×ÓÁ¦Ñ§ÖУ¬²¨º¯ÊýÓëµç×ÓÃܶȣ¬Ôõô¿´³ö²¨º¯ÊýµÄÊýĿԶ´óÓÚµç×ÓÃܶȣ¿
ÒѾÓÐ5È˻ظ´
µç¼«»îÐÔ²ÄÁϵÄÄÜÁ¿ÃܶȺÍÕû¸ö´¢ÄÜÆ÷¼þÄÜÁ¿ÃܶȵĹØÏµ£¨ÏµÊý£©
ÒѾÓÐ8È˻ظ´
ÇëÎÊNiO£¨ï®µç¸º¼«²ÄÁÏ£©µÄÌå»ýÄÜÁ¿Ãܶȣ¨volumetric energy density£©ÔõôË㣿
ÒѾÓÐ11È˻ظ´
¹ØÓÚµç×ÓÑ©±ÀÖеç×ÓÊýµÄÎÊÌ⣬¸ßÊÖ½ø£¡£¡£¡
ÒѾÓÐ5È˻ظ´
AIM¼üÁÙ½çµã´¦µç×ÓÃܶÈÀÆÕÀ˹ֵ·ûºÅÅжÏÏ໥×÷ÓÃÀàÐÍʧ°ÜÔÒòµÄͼÐηÖÎö
ÒѾÓÐ24È˻ظ´
Ϊʲô¶Ôµç³Ø¶øÑÔ£¬ÆäÄÜÁ¿ÃܶȺ͹¦ÂÊÃܶÈÖ®¼äͨ³£´æÔÚ·´±È¹ØÏµ
ÒѾÓÐ16È˻ظ´
Çë´óÅ£Ö¸½Ì¡£¹ØÓڽض϶¯ÄÜ¡¢Ô×ÓÊýÄ¿£¬KµãÃܶÈ
ÒѾÓÐ4È˻ظ´
ÔÓ̸Á¿×Ó»¯Ñ§Öеļò»¯ÕÐÊý£¬ºÍSCC-DFTBÄ£ÐÍ
ÒѾÓÐ24È˻ظ´
AIM¶¯ÄÜÃܶȺÍÊÆÄÜÃܶÈÇóÖú
ÒѾÓÐ7È˻ظ´
ÈçºÎ¼ÆËã/×÷ͼH/H_2^+/H_2/SiµÄ»ù̬/µÚÒ»¼¤·¢Ì¬/µÚ¶þ¼¤·¢Ì¬µÄÄÜÁ¿/µçºÉÃܶÈ
ÒѾÓÐ4È˻ظ´
﮽ðÊôµÄÀíÂÛÄÜÁ¿Ãܶȡ£¡£¡£¡£¡£
ÒѾÓÐ7È˻ظ´
3.22ÎÄÏ×½â¶Á£ºÈýÔª²ÄÁÏÔÚ¸ßÄÜÁ¿ÃܶÈï®Àë×Óµç³ØÖеÄÓ¦ÓÃ
ÒѾÓÐ236È˻ظ´
ÐÂÒ»´ú¸ßÄÜÁ¿Ãܶȶ¯Á¦ï®Àë×Óµç³ØÕý¼«²ÄÁÏ¡ª¡ªÁ×ËáÃÌï®
ÒѾÓÐ21È˻ظ´
ÃÀ¹úEnvia SystemsʵÏÖ400Wh/kgÄÜÁ¿ÃܶȵÄï®Àë×Ó³äµçµç³Ø,Li2MnO3-LiMO2Ìåϵ
ÒѾÓÐ15È˻ظ´
ÈçºÎÌá¸ß»¯Ñ§µçÔ´ÄÜÁ¿Ãܶȵķ´Ë¼
ÒѾÓÐ31È˻ظ´
¡¾ÌÖÂÛ¡¿comsolÖе糡ÄÜÁ¿ÃܶȺʹų¡ÄÜÁ¿ÃܶÈ
ÒѾÓÐ12È˻ظ´
¡¾ÇóÖú¡¿·Ö×ӵ͝ÄÜÓë·Ö×ÓµÄÖÊÁ¿ÓйØÂ𣿷Ö×ÓÆ½¾ù¶¯ÄܵĹ«Ê½ÊÇʲô£¿
ÒѾÓÐ3È˻ظ´
¡¾ÇóÖú¡¿¹ØÓÚGaussian¼ÆËãÖеÄÄÜÁ¿ÎÊÌâ
ÒѾÓÐ14È˻ظ´
¡¾sobereva¸öÈËÎ¿µç×Ó¶¨ÓòÐÔµÄͼÐηÖÎö
ÒѾÓÐ56È˻ظ´
¡¾ÇóÖú¡¿Çó½ÌNBO Charge £¬µç×ÓÃܶȣ¬ÄÜÁ¿µÄ¹ØÏµ£¿
ÒѾÓÐ4È˻ظ´
sobereva
ÖÁ×ðľ³æ (ÖøÃûдÊÖ)
±¾ÈËÒÑÓÀ¾ÃÀ뿪Сľ³æ
- QCÇ¿Ìû: 17
- Ó¦Öú: 226 (´óѧÉú)
- ¹ó±ö: 5.4
- ½ð±Ò: 2180.5
- ºì»¨: 217
- Ìû×Ó: 1241
- ÔÚÏß: 366.8Сʱ
- ³æºÅ: 281271
- ×¢²á: 2006-09-23
- רҵ: ÓîÖæÑ§
¡ï ¡ï ¡ï ¡ï
Сľ³æ: ½ð±Ò+0.5, ¸ø¸öºì°ü£¬Ð»Ð»»ØÌû
gmy1990: ½ð±Ò+3 2014-04-06 06:24:07
Сľ³æ: ½ð±Ò+0.5, ¸ø¸öºì°ü£¬Ð»Ð»»ØÌû
gmy1990: ½ð±Ò+3 2014-04-06 06:24:07
| ¹ØÓÚELFµÄÿһÏîµÄÎïÀíÒâÒåµÄÌÖÂÛ¿ÉÒԲο´¡¶µç×Ó¶¨Óò»¯º¯ÊýµÄº¬ÒåÓ뺯ÊýÐÎʽ¡·£¨ÎïÀí»¯Ñ§Ñ§±¨£¬27£¬2786-2792£©£¬ÁíÍâÕâÀïÓÐÒ»¶ÑELFµÄ×ÛÊö¿ÉÒÔ¿´¿´£ºhttp://pan.baidu.com/share/link? ... p;amp;uk=1074012119 |
2Â¥2014-04-05 23:59:48














»Ø¸´´ËÂ¥