Znn3bq.jpeg
±±¾©Ê¯ÓÍ»¯¹¤Ñ§Ôº2026ÄêÑо¿ÉúÕÐÉú½ÓÊÕµ÷¼Á¹«¸æ
²é¿´: 743  |  »Ø¸´: 0

cao8916

гæ (СÓÐÃûÆø)

[ÇóÖú] ¸÷λ´óÉñ£¬ÇóÖúCCDCºÅ

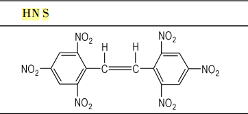
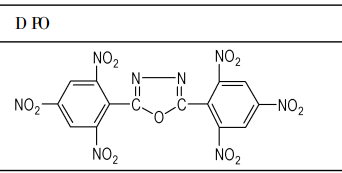
ÏÂÃæÍ¼Æ¬ÖÐÊÇHNSºÍDPO·Ö×ӽṹʽ£¬ÇóÖúCCDCºÅ»òcifÎļþ£¬Ï£Íû¸÷λ´óÉñÄܰïСµÜÕâ¸ö棬СµÜÔڴ˰ÝлÁË£¡

DPO (2,5-¶þ¿à»ù-1,3,4-‡f¶þßò£¬2, 5-dipicryl-1, 3, 4-oxadiazole £©
¸÷λ´óÉñ£¬ÇóÖúCCDCºÅ
DPO.png

HNS  ( ÁùÏõ»ùƇ£¬2,2',4,4',6,6'- hexanitrostilbene )
¸÷λ´óÉñ£¬ÇóÖúCCDCºÅ-1
HNS.png
»Ø¸´´ËÂ¥
ÀÖ¹ÛÃæ¶Ô£¬ÓÂÍùֱǰ
ÒÑÔÄ   »Ø¸´´ËÂ¥   ¹Ø×¢TA ¸øTA·¢ÏûÏ¢ ËÍTAºì»¨ TAµÄ»ØÌû

ÖÇÄÜ»úÆ÷ÈË

Robot (super robot)

ÎÒÃǶ¼°®Ð¡Ä¾³æ

ÕÒµ½Ò»Ð©Ïà¹ØµÄ¾«»ªÌû×Ó£¬Ï£ÍûÓÐÓÃŶ~

¿ÆÑдÓСľ³æ¿ªÊ¼£¬ÈËÈËΪÎÒ£¬ÎÒΪÈËÈË
Ïà¹Ø°æ¿éÌø×ª ÎÒÒª¶©ÔÄÂ¥Ö÷ cao8916 µÄÖ÷Ìâ¸üÐÂ
×î¾ßÈËÆøÈÈÌûÍÆ¼ö [²é¿´È«²¿] ×÷Õß »Ø/¿´ ×îºó·¢±í
[¿¼ÑÐ] 353Çóµ÷¼Á +4 Çç¿ÕÍòÀïair 2026-04-07 4/200 2026-04-07 23:24 by JourneyLucky
[¿¼ÑÐ] 0854µç×ÓÐÅÏ¢319Çóµ÷¼Á£¨½ÓÊÜ¿çרҵµ÷¼Á£© +5 ÐÇÐDz»Õ£ÑÛà¶ 2026-04-05 6/300 2026-04-07 22:16 by hemengdong
[¿¼ÑÐ] 0703×Ü·Ö331Çóµ÷¼Á +16 ZY-05 2026-04-04 20/1000 2026-04-07 18:00 by À¶ÔÆË¼Óê
[¿¼ÑÐ] ²ÄÁϹ¤³Ì322·Ö +14 ¹þ¹þ¹þºðºðºð¹þ 2026-04-01 14/700 2026-04-07 16:14 by ¾²»¨¶ù
[¿¼ÑÐ] 334·Ö»úеר˶Çóµ÷¼Á +3 µ°»¨×ϲËÌÀ 2026-04-03 3/150 2026-04-07 14:49 by åÐÒ£cocoa
[¿¼ÑÐ] ²ÄÁϵ÷¼Á +17 СÁõͬѧ߹߹ 2026-04-06 18/900 2026-04-07 11:41 by Ê«Óë×ÔÓÉ
[¿¼ÑÐ] 085405Èí¼þ¹¤³Ì301·ÖÇóµ÷¼Á£¬×¨Ë¶¿É¿çרҵ£¬ËÄÁù¼¶Òѹý +3 ¾²¾²ÏëÏë 2026-04-05 3/150 2026-04-06 15:23 by nepu_uu
[¿¼ÑÐ] Ò»Ö¾Ô¸Î人Àí¹¤´óѧ080200»úе¹¤³Ì308·Ö£¬Çóµ÷¼Á +4 ÖÕ²»ËÆ´Óǰ 2026-04-05 4/200 2026-04-06 11:46 by ¿¼ÑÐѧУÕеãÈË
[¿¼ÑÐ] µ÷¼Á Ò»Ö¾Ô¸¼ªÁÖ´óѧ357·Ö +5 .Starry. 2026-04-04 5/250 2026-04-06 09:28 by cql1109
[¿¼ÑÐ] 301Çóµ÷¼Á +6 ϸ°ûÏà¹Øµ°°× 2026-04-02 10/500 2026-04-06 08:34 by jp9609
[¿¼ÑÐ] 283Çóµ÷¼Á +5 baiiyu 2026-04-05 6/300 2026-04-05 20:35 by à£à£à£0119
[¿¼ÑÐ] 306·Ö²ÄÁÏÓ뻯¹¤Çóµ÷¼Á +7 Àè°ÉÀ²À²ÄãºÜÓÐà 2026-04-03 7/350 2026-04-05 17:18 by Hdyxbekcb
[¿¼ÑÐ] µç×ÓÐÅÏ¢µ÷¼Á½»²æÑ§¿ÆÓÐÍÆ¼öÂð +6 jhtfeybgj 2026-04-01 9/450 2026-04-05 11:13 by Öí»á·É
[¿¼ÑÐ] Äܶ¯µ÷¼Á326ר˶ +4 wan112233 2026-04-04 4/200 2026-04-04 22:47 by yu221
[¿¼ÑÐ] ±¾¿Æ211£¬×¨Òµ085404£¬293·ÖÇëÇóµ÷¼Á +5 Á«²Ë¾ÍÊÇź°É 2026-04-04 5/250 2026-04-04 14:08 by ÕâÊÇÒ»¸öÎÞÁĵÄê
[¿¼ÑÐ] һ־Ըɽ¶«´óѧ£¬085600£¬344 +7 κ×Óper 2026-04-02 8/400 2026-04-02 21:12 by °ÙÁéͯ888
[¿¼ÑÐ] 270µ÷¼Á +7 maxjxbsk 2026-04-02 7/350 2026-04-02 09:50 by yulian1987
[¿¼ÑÐ] 377Çóµ÷¼Á +3 RASKIN 2026-04-02 3/150 2026-04-02 09:45 by zzchen2000
[¿¼ÑÐ] Çóµ÷¼Á£¬Ò»Ö¾Ô¸ÄϾ©Ê¦·¶´óѧ¼ÆËã»úר˶£¬³õÊÔ373£¬Áù¼¶Í¨¹ý£¬ +3 ¼ÆËã»ú×·ÃÎÈË 2026-04-01 3/150 2026-04-02 07:57 by fxue1114
[¿¼ÑÐ] 303·Ö 0807ѧ˶Çóµ÷¼Á +3 TYC3632 2026-04-01 3/150 2026-04-01 19:24 by lwk2004
ÐÅÏ¢Ìáʾ
ÇëÌî´¦ÀíÒâ¼û