| ²é¿´: 365 | »Ø¸´: 1 | ||
shasha1003Ìú³æ (³õÈëÎÄ̳)
|
[ÇóÖú]
Îʸö¼òµ¥µÄ¶¨»ý·ÖÎÊÌâ ÒÑÓÐ1È˲ÎÓë
|
|
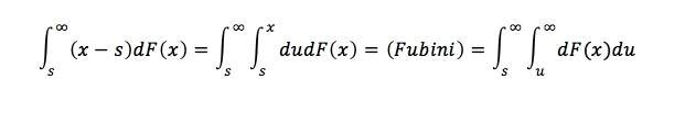
ÔÚÎÄÕÂÀï¿´µ½ÕâÑùµÄÒ»¸öµÈʽ£¬ÎÒ²»ÏþµÃ¹«Ê½µÚ¶þ¸öµÈºÅÊÇÔõôµÈÆðÀ´µÄ¡£Ã»¿´¶®¡£ºÃÏñÊÇÓÃÁ˸»±ÈÄᶨÀí¡£ÇëÎʵڶþ¸öµÈºÅ³ÉÁ¢Âð£¿ÊÇÔõô³ÉÁ¢µÄÄØ£¬ÄܽâÊÍÏÂÂ𣿠1.png |
» ²ÂÄãϲ»¶
0703»¯Ñ§Çóµ÷¼Á
ÒѾÓÐ6È˻ظ´
Ò»Ö¾Ô¸ÖÐÄÏ´óѧ»¯Ñ§Ñ§Ë¶0703×Ü·Ö337Çóµ÷¼Á
ÒѾÓÐ6È˻ظ´
¿¼Ñл¯Ñ§308·ÖÇóµ÷¼Á
ÒѾÓÐ9È˻ظ´
Çóµ÷¼Á Ò»Ö¾Ô¸ ±¾¿Æ ±±¿Æ´ó »¯Ñ§ 343
ÒѾÓÐ4È˻ظ´
Ò»Ö¾Ô¸¼ªÁÖ´óѧ²ÄÁÏÓ뻯¹¤303·ÖÇóµ÷¼Á
ÒѾÓÐ3È˻ظ´
¸÷λÀÏʦÄúºÃ£º±¾È˳õÊÔ372·Ö
ÒѾÓÐ3È˻ظ´
BÇø¿¼Ñе÷¼Á
ÒѾÓÐ5È˻ظ´
284Çóµ÷¼Á
ÒѾÓÐ12È˻ظ´
Çóµ÷¼Á£¬Ò»Ö¾Ô¸:ÄϾ©º½¿Õº½Ìì´óѧ´óѧ £¬080500²ÄÁÏ¿ÆÑ§Ó빤³Ìѧ˶£¬×Ü·Ö289·Ö
ÒѾÓÐ6È˻ظ´
289²ÄÁÏÓ뻯¹¤£¨085600£©BÇøÇóµ÷¼Á
ÒѾÓÐ5È˻ظ´
» ±¾Ö÷ÌâÏà¹Ø¼ÛÖµÌùÍÆ¼ö£¬¶ÔÄúͬÑùÓаïÖú:
ºÜ¼òµ¥µÄÒ»¸ö·´Ó¦£¬µ«ÊdzöÏÖÁËÒ»µãÎÊÌâ¡£
ÒѾÓÐ8È˻ظ´
¡¶Ê·ÉÏ×î¼òµ¥µÄÎÊÌâ½â¾öÊֲᡷPDF
ÒѾÓÐ521È˻ظ´
ÇóÖú¸ß·Ö×ӵĴóÉñ½âÊÍÒ»¸ö¼òµ¥ÎÊÌ⣬ϣÍûÄÜÓÃרҵµÄÓïÑÔ½â´ð£¡
ÒѾÓÐ14È˻ظ´
Êýѧ»ý·ÖµÄÎÊÌâ
ÒѾÓÐ7È˻ظ´
˶®Rͳ¼ÆÈí¼þ£¬ÎÊÒ»¸öÊý¾ÝÕûÀíµÄ¼òµ¥ÎÊÌ⣬ÎÒÕæÊÇÈëÃż¶µÄÎÊÌâ¸ã²»Çå°¡
ÒѾÓÐ6È˻ظ´
matlabÇóº¯Êý»ý·Ö³ö´í
ÒѾÓÐ12È˻ظ´
Ò»¸ö¼òµ¥µÄC++³ÌÐòÔËÐÐÎÊÌâ
ÒѾÓÐ8È˻ظ´
Êýѧ¶þµÄÒ»¸ö¼òµ¥ÎÊÌâ
ÒѾÓÐ11È˻ظ´
ÇóÖúÒ»¸ö¼òµ¥µÄÁ¢Ì弸ºÎÎÊÌâ
ÒѾÓÐ6È˻ظ´
¹ØÓÚµçż¼«¾ØµÄÒ»¸ö¼òµ¥ÎÊÌâ
ÒѾÓÐ5È˻ظ´
Ò»¸ö¼òµ¥µÄÎïÀíСÎÊÌâ
ÒѾÓÐ28È˻ظ´
¼òµ¥ÎÊÌ⣬¹ØÓÚÓ¢ÎÄËõдµÄ´óСдÎÊÌâµÄ¡£¡£
ÒѾÓÐ4È˻ظ´
¼òµ¥´ÅѧµÄ¼¸¸öÎÊÌ⣡
ÒѾÓÐ20È˻ظ´
¼òµ¥¾ØÕó¼ÆËãÎÊÌâ¡£
ÒѾÓÐ8È˻ظ´
ÇóÖú¼òµ¥Ôµç³ØµÄÒ»¸öСÎÊÌâ
ÒѾÓÐ16È˻ظ´
¼òµ¥µÄÇóµ¼ÎÊÌâ
ÒѾÓÐ11È˻ظ´
¼±Îʼ¸¸ö¼òµ¥µÄ·ÖÎö»¯Ñ§µÄÑ¡ÔñÌâ
ÒѾÓÐ9È˻ظ´
Çë½Ì¸ö¼òµ¥µÄСÎÊÌâ
ÒѾÓÐ7È˻ظ´
¡¾ÇóÖú/½»Á÷¡¿Çë½ÌÒ»¸ö¼òµ¥ÎÊÌ⣺ÐÂÂòµÄÔØ²£Æ¬ÐèÒªÇåϴô£¿¸Ç²£Æ¬ÄØ£¿Ð»Ð»£¡
ÒѾÓÐ18È˻ظ´
¸ú´ó¼ÒÈ·¶¨Ò»¸ö¼òµ¥µÄ¶¨»ý·ÖÇóµ¼ÎÊÌâ
ÒѾÓÐ2È˻ظ´
¡¾ÇóÖú¡¿Çë½ÌMaple¸ßÊֻͼÎÊÌâ,¶¨»ý·Ö×÷ͼ
ÒѾÓÐ6È˻ظ´
¡¾ÇóÖú¡¿Ò»¸ö¼òµ¥µÄgap¼ÆËãÎÊÌâ
ÒѾÓÐ9È˻ظ´
¡¾ÇóÖú¡¿Ò»¸ö¼òµ¥µÄ´«ÈÈÎÊÌâ
ÒѾÓÐ11È˻ظ´
jabile
ľ³æ (ÕýʽдÊÖ)
- Ó¦Öú: 53 (³õÖÐÉú)
- ½ð±Ò: 5805.8
- ºì»¨: 12
- Ìû×Ó: 451
- ÔÚÏß: 296.3Сʱ
- ³æºÅ: 1516737
- ×¢²á: 2011-11-30
- רҵ: ¸ÅÂÊÂÛÓëËæ»ú·ÖÎö
¡¾´ð°¸¡¿Ó¦Öú»ØÌû
¡ï ¡ï ¡ï ¡ï ¡ï ¡ï ¡ï ¡ï ¡ï ¡ï ¡ï ¡ï ¡ï ¡ï ¡ï ¡ï ¡ï ¡ï ¡ï ¡ï ¡ï ¡ï ¡ï ¡ï ¡ï ¡ï ¡ï ¡ï ¡ï ¡ï ¡ï ¡ï ¡ï ¡ï ¡ï ¡ï ¡ï ¡ï ¡ï ¡ï ¡ï ¡ï ¡ï ¡ï ¡ï ¡ï ¡ï ¡ï ¡ï ¡ï
¸Ðл²ÎÓ룬ӦÖúÖ¸Êý +1
shasha1003: ½ð±Ò+50, ¡ï¡ï¡ïºÜÓаïÖú 2014-03-25 20:11:29
¸Ðл²ÎÓ룬ӦÖúÖ¸Êý +1
shasha1003: ½ð±Ò+50, ¡ï¡ï¡ïºÜÓаïÖú 2014-03-25 20:11:29
|
¾ÍÊÇFubini¶¨Àí£¬·Ç¸ºº¯Êý»ý·Ö¿ÉÒÔ½»»»´ÎÐò s<u<x<\infty д³ÉÀ۴λý·Ö£¬·Ö±ðÊǵÈʽµÄ×óÓÒÁ½±ß |
2Â¥2014-03-21 06:38:19













»Ø¸´´ËÂ¥