版块导航
正在加载中...
客户端APP下载
登录
注册
帖子
帖子
用户
本版
应《网络安全法》要求,自2017年10月1日起,未进行实名认证将不得使用互联网跟帖服务。为保障您的帐号能够正常使用,请尽快对帐号进行手机号验证,感谢您的理解与支持!
24小时热门版块排行榜
>
论坛更新日志
(3053)
>
虫友互识
(290)
>
仿真模拟
(246)
>
导师招生
(222)
>
文献求助
(208)
>
考博
(144)
>
休闲灌水
(106)
>
硕博家园
(71)
>
论文投稿
(70)
>
基金申请
(65)
>
招聘信息布告栏
(60)
>
公派出国
(49)
>
有机交流
(45)
>
攻关文献(高奖励)
(35)
>
职场人生
(19)
>
外文书籍求助
(18)
小木虫论坛-学术科研互动平台
»
生物医药区
»
分子生物
»
综合其他
»
关于在origin中设置KD方程
1
1/1
返回列表
查看: 1555 | 回复: 0
只看楼主
@他人
存档
新回复提醒
(忽略)
收藏
在APP中查看
xd_624
新虫
(小有名气)
应助: 0
(幼儿园)
金币: 197.4
散金: 26
帖子: 176
在线: 86.9小时
虫号: 1077230
注册: 2010-08-18
性别: GG
专业: 有机合成
[
求助
]
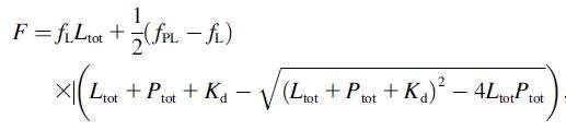
关于在origin中设置KD方程
在计算KD 可是不知道怎么样输入origin中不知道怎么样设置参数,图片中是方程,谢谢
1.JPG
回复此楼
» 猜你喜欢
Dordaviprone(ONC201):小分子药物在中线胶质瘤中的应用
已经有0人回复
依喜替康:新型喜树碱衍生物的研究进展
已经有1人回复
化学工程及工业化学论文润色/翻译怎么收费?
已经有163人回复
膀胱癌靶向治疗新选择:厄达替尼作用机制与耐药研究进展
已经有0人回复
从水母到实验室:腔肠素的发现历程与生物发光奥秘
已经有1人回复
线粒体氧化磷酸化的新靶点:S-Gboxin的发现与研究进展
已经有0人回复
PROTAC药物开发选择VHL配体:MDK-7526以87%出口向量占有率成首选
已经有0人回复
MCC950:NLRP3炎症小体特异性抑制剂的科研应用与前景
已经有0人回复
康替唑胺研发17年:如何解决多重耐药菌感染难题
已经有0人回复
伊曲莫德(Etrasimod)从“肠道免疫失控”到精准靶向干预
已经有0人回复
1楼
2014-03-11 14:47:01
已阅
回复此楼
关注TA
给TA发消息
送TA红花
TA的回帖
智能机器人
Robot
(super robot)
我们都爱小木虫
找到一些相关的精华帖子,希望有用哦~
origin拟合langmuir和freundlich方程为什么曲线出来的是直线啊
已经有15人回复
origin 指数方程模拟
已经有3人回复
关于origin数据拟合方程后,求一个y值对应的x值
已经有7人回复
origin 非线性自定义拟合问题~~方程组编写及运行~~
已经有8人回复
求助啊,用origin拟合曲线。方程式中出现E,是什么意思啊
已经有6人回复
Origin8.1拟合动力学方程
已经有10人回复
origin 二元一次方程(Y=aX1+bX2+c)拟合 求助
已经有7人回复
请问能否origin解这个方程?有实验数据。谢谢
已经有3人回复
非线性方程在ORIGIN 8.0 中怎样拟合?
已经有3人回复
[原创]在Origin8.6 中用作图法求解超越方程
已经有45人回复
origin8.0拟合方程中参数怎么求
已经有5人回复
请问,origin如何拟合三维曲面,并得到曲面方程,非常感谢!!!数据附上
已经有5人回复
origin中方程拟合问题
已经有10人回复
求教origin拟合简单的渗流方程(又称逾渗方程),做复合材料的应该会遇到吧
已经有20人回复
origin 画直线 但是怎么显示直线方程和相关系数??谢谢
已经有5人回复
用Origin怎么寻找方程的根?
已经有9人回复
如何通过在origin中添加趋势线和添加方程
已经有1人回复
关于origin 7.0自定义方程拟合问题
已经有6人回复
origin怎么用已知方程画出三维图
已经有8人回复
怎么在Origin里面把画出了的曲线生成对应的方程
已经有3人回复
求助Origin8.0拟合方程
已经有6人回复
求助:用Origin做微分方程的曲线拟合
已经有7人回复
【求助】origin拟合外推方程
已经有8人回复
点击这里搜索更多相关资源
科研从小木虫开始,人人为我,我为人人
相关版块跳转
新药研发
药学
药品生产
分子生物
微生物
动植物
生物科学
医学
我要订阅楼主
xd_624
的主题更新
1
1/1
返回列表
如果回帖内容含有宣传信息,请如实选中。否则帐号将被全论坛禁言
普通表情
龙
兔
虎
猫
百度网盘
|
360云盘
|
千易网盘
|
华为网盘
在新窗口页面中打开自己喜欢的网盘网站,将文件上传后,然后将下载链接复制到帖子内容中就可以了。
信息提示
关闭
请填处理意见
关闭
确定