²é¿´: 827  |  »Ø¸´: 3

715568730

Ìú¸Ëľ³æ (ÖøÃûдÊÖ)

»ðÐÇÇòÇòÖ÷


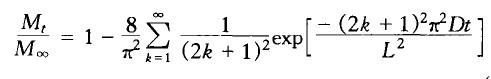
[ÇóÖú] ÇëÎÊÄÜ·ñorigin½âÕâ¸ö·½³Ì£¿ÓÐʵÑéÊý¾Ý¡£Ð»Ð»

ÇëÎÊÄÜ·ñorigin½âÕâ¸ö·½³Ì£¿ÓÐʵÑéÊý¾Ý¡£Ð»Ð»
L£¬Mt¶¼ÊÇÒÑÖªµÄ£¬ÄÜ·ñÇó³öDºÍ£¨MÎÞÇ¡£
лл£¡

δÃüÃû.jpg



[ À´×Ô¿ÆÑмÒ×å ¸ß·Ö×Ó¼Ò×å ]
»Ø¸´´ËÂ¥

» ÊÕ¼±¾ÌûµÄÌÔÌûר¼­ÍƼö

originÈí¼þ×ÊÔ´¼°ÎÊÌâ½â´ð

» ²ÂÄãϲ»¶

» ±¾Ö÷ÌâÏà¹ØÉ̼ÒÍÆ¼ö: (ÎÒÒ²ÒªÔÚÕâÀïÍÆ¹ã)

» ±¾Ö÷ÌâÏà¹Ø¼ÛÖµÌùÍÆ¼ö£¬¶ÔÄúͬÑùÓаïÖú:

ÒÑÔÄ   »Ø¸´´ËÂ¥   ¹Ø×¢TA ¸øTA·¢ÏûÏ¢ ËÍTAºì»¨ TAµÄ»ØÌû

liangw2012

½ð³æ (ÕýʽдÊÖ)

¡¾´ð°¸¡¿Ó¦Öú»ØÌû

¡ï ¡ï ¡ï ¡ï
¸Ðл²ÎÓ룬ӦÖúÖ¸Êý +1
715568730: ½ð±Ò+3, ¡ï¡ï¡ïºÜÓаïÖú 2012-11-17 00:42:50
csgt0: ½ð±Ò+1, »¶Ó­½»Á÷ 2012-11-17 09:24:16
ÎÒ²»ÖªµÀoriginÊÇ·ñÓÐÕâ¸ö¹¦ÄÜ£¬ÒòΪÎÒÖ»ÖªµÀoriginÓÃÀ´»­Í¼¡£µ«ÊÇMatlabÓ¦¸Ã¿ÉÒÔ£¬ Äã¿ÉÒÔÊÔÊÔ¡£
³èÈè²»¾ª£¬¿´ÌìÍâÔÆ¾íÔÆÊæ¡£
2Â¥2012-11-16 22:49:21
ÒÑÔÄ   »Ø¸´´ËÂ¥   ¹Ø×¢TA ¸øTA·¢ÏûÏ¢ ËÍTAºì»¨ TAµÄ»ØÌû

715568730

Ìú¸Ëľ³æ (ÖøÃûдÊÖ)

»ðÐÇÇòÇòÖ÷


ÒýÓûØÌû:
2Â¥: Originally posted by liangw2012 at 2012-11-16 22:49:21
ÎÒ²»ÖªµÀoriginÊÇ·ñÓÐÕâ¸ö¹¦ÄÜ£¬ÒòΪÎÒÖ»ÖªµÀoriginÓÃÀ´»­Í¼¡£µ«ÊÇMatlabÓ¦¸Ã¿ÉÒÔ£¬ Äã¿ÉÒÔÊÔÊÔ¡£

àÅ£¬ºÃµÄ£¬Ð»Ð»ÄãµÄÌáʾ£¡ÎÒÏÈÈ¥Á˽âÒ»ÏÂMatlab¡£
3Â¥2012-11-17 00:42:29
ÒÑÔÄ   »Ø¸´´ËÂ¥   ¹Ø×¢TA ¸øTA·¢ÏûÏ¢ ËÍTAºì»¨ TAµÄ»ØÌû

Сľ³æzb

ľ³æ (ÕýʽдÊÖ)

¡¾´ð°¸¡¿Ó¦Öú»ØÌû

¡ï ¡ï ¡ï
¸Ðл²ÎÓ룬ӦÖúÖ¸Êý +1
csgt0: ½ð±Ò+1, »¶Ó­½»Á÷ 2012-11-19 10:47:23
715568730: ½ð±Ò+2, ¡ï¡ï¡ïºÜÓаïÖú 2012-11-22 10:08:44
Õâ¸ö¿ÉÒÔÓÃorigin±à³ö¸Ã·½³Ì£¬È»ºóÄâºÏÊý¾ÝÇó½â£¬²»¹ý¿ÉÄܱÈmatlabÒª¸´ÔÓЩ
4Â¥2012-11-17 10:22:28
ÒÑÔÄ   »Ø¸´´ËÂ¥   ¹Ø×¢TA ¸øTA·¢ÏûÏ¢ ËÍTAºì»¨ TAµÄ»ØÌû
Ïà¹Ø°æ¿éÌø×ª ÎÒÒª¶©ÔÄÂ¥Ö÷ 715568730 µÄÖ÷Ìâ¸üÐÂ
×î¾ßÈËÆøÈÈÌûÍÆ¼ö [²é¿´È«²¿] ×÷Õß »Ø/¿´ ×îºó·¢±í
[¿¼ÑÐ] 280Çóµ÷¼Á +10 ¹¾ààÏþÏþ 2026-03-18 11/550 2026-03-21 17:40 by ѧԱ8dgXkO
[¿¼ÑÐ] 313Çóµ÷¼Á +4 ËÁÈþ·¡Ò¼22 2026-03-19 4/200 2026-03-21 17:33 by ColorlessPI
[¿¼ÑÐ] 336Çóµ÷¼Á +5 rmc8866 2026-03-21 5/250 2026-03-21 17:24 by ѧԱ8dgXkO
[¿¼ÑÐ] 333Çóµ÷¼Á +4 87639 2026-03-21 4/200 2026-03-21 17:18 by ѧԱ8dgXkO
[¿¼ÑÐ] ¡¾¿¼Ñе÷¼Á¡¿»¯Ñ§×¨Òµ 281·Ö£¬Ò»Ö¾Ô¸ËÄ´¨´óѧ£¬³ÏÐÄÇóµ÷¼Á +10 ³Ô³Ô³Ô²ÅÓÐÒâÒå 2026-03-19 10/500 2026-03-21 16:43 by macy2011
[¿¼ÑÐ] ²ÄÁÏÓ뻯¹¤£¨0856£©304Çó BÇø µ÷¼Á +3 Çñgl 2026-03-21 3/150 2026-03-21 13:47 by lature00
[¿¼ÑÐ] 304Çóµ÷¼Á +6 ÂüÊâ2266 2026-03-18 6/300 2026-03-21 00:32 by JourneyLucky
[¿¼ÑÐ] ²ÄÁÏרҵÇóµ÷¼Á +6 hanamiko 2026-03-18 6/300 2026-03-21 00:24 by JourneyLucky
[¿¼ÑÐ] Ò»Ö¾Ô¸ÖÐÄÏ»¯Ñ§£¨0703£©×Ü·Ö337Çóµ÷¼Á +8 niko- 2026-03-19 9/450 2026-03-20 21:57 by luoyongfeng
[¿¼ÑÐ] ±±¿Æ281ѧ˶²ÄÁÏÇóµ÷¼Á +5 tcxiaoxx 2026-03-20 5/250 2026-03-20 21:35 by laoshidan
[¿¼ÑÐ] Ò»Ö¾Ô¸ÎäÀí²ÄÁϹ¤³Ì348Çóµ÷¼Á +3 £þ^£þ©bº¹ 2026-03-19 4/200 2026-03-20 21:01 by zhukairuo
[¿¼ÑÐ] 0703»¯Ñ§µ÷¼Á +10 ÄÝÄÝninicgb 2026-03-15 14/700 2026-03-19 22:59 by ѧԱ8dgXkO
[¿¼ÑÐ] 085601²ÄÁϹ¤³Ìר˶Çóµ÷¼Á +10 Ľº®mio 2026-03-16 10/500 2026-03-19 15:26 by ¶¡¶¡*
[¿¼ÑÐ] 286Çóµ÷¼Á +6 lemonzzn 2026-03-16 10/500 2026-03-19 14:31 by lemonzzn
[¿¼ÑÐ] ±¾¿ÆÖ£ÖÝ´óѧÎïÀíѧԺ£¬Ò»Ö¾Ô¸»ª¿Æ070200ѧ˶£¬346Çóµ÷¼Á +4 ÎÒ²»ÊÇÒ»¸ù´Ð 2026-03-18 4/200 2026-03-19 09:11 by ¸¡ÔÆ166
[¿¼ÑÐ] ²ÄÁϹ¤³Ìר˶µ÷¼Á +5 204818@lcx 2026-03-17 6/300 2026-03-18 22:55 by 204818@lcx
[¿¼ÑÐ] ¡¾Í¬¼ÃÈí¼þ¡¿Èí¼þ£¨085405£©¿¼ÑÐÇóµ÷¼Á +3 2026eternal 2026-03-18 3/150 2026-03-18 19:09 by ²«»÷518
[¿¼ÑÐ] 085601Çóµ÷¼Á +4 Du.11 2026-03-16 4/200 2026-03-17 17:08 by ruiyingmiao
[¿¼ÑÐ] Ò»Ö¾Ô¸ËÕÖÝ´óѧ²ÄÁϹ¤³Ì£¨085601£©×¨Ë¶ÓпÆÑо­ÀúÈýÏî¹ú½±Á½¸öʵÓÃÐÍרÀûÒ»ÏîÊ¡¼¶Á¢Ïî +6 ´ó»ðɽС»ðɽ 2026-03-16 8/400 2026-03-17 15:05 by ÎÞи¿É»÷111
[¿¼ÑÐ] 326Çóµ÷¼Á +4 ŵ±´¶û»¯Ñ§½±êéê 2026-03-15 7/350 2026-03-16 17:11 by ŵ±´¶û»¯Ñ§½±êéê
ÐÅÏ¢Ìáʾ
ÇëÌî´¦ÀíÒâ¼û