| ²é¿´: 5046 | »Ø¸´: 1 | ||
zhaohuiyuan½ð³æ (ÖøÃûдÊÖ)
|
[ÇóÖú]
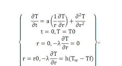
һάÈÈ´«µ¼Æ«Î¢·Ö·½³ÌµÄÊýÖµ½â·¨ÇóÖú
|
ºÃÌû×Ó |
» ±¾ÌûÒÑ»ñµÃµÄºì»¨£¨×îÐÂ10¶ä£©
» ²ÂÄãϲ»¶
Ò»Ö¾Ô¸±±½»´ó²ÄÁϹ¤³Ì×Ü·Ö358Çóµ÷¼Á
ÒѾÓÐ9È˻ظ´
286Çóµ÷¼Á
ÒѾÓÐ11È˻ظ´
Çóµ÷¼Á£¡ÉúÎïÓëҽҩר˶
ÒѾÓÐ6È˻ظ´
362Çóµ÷¼ÁÒ»Ö¾Ô¸ÖйúʯÓÍ´óѧ
ÒѾÓÐ4È˻ظ´
085600£¬321·ÖÇóµ÷¼Á
ÒѾÓÐ14È˻ظ´
²ÄÁϵ÷¼Á
ÒѾÓÐ4È˻ظ´
Ò»Ö¾Ô¸ÉúÎïÓëÒ½Ò©£¬296·Ö£¬Çóµ÷¼Á
ÒѾÓÐ11È˻ظ´
346·ÖµÄÉúÎïÓëÒ½Ò©08600Çóµ÷¼Á
ÒѾÓÐ7È˻ظ´
071000ÉúÎïѧµ÷¼Á
ÒѾÓÐ6È˻ظ´
Ò»Ö¾Ô¸Ö£ÖÝ´óѧ²ÄÁÏÓ뻯¹¤085600£¬Çóµ÷¼Á
ÒѾÓÐ25È˻ظ´
» ±¾Ö÷ÌâÏà¹Ø¼ÛÖµÌùÍÆ¼ö£¬¶ÔÄúͬÑùÓаïÖú:
¸ú´ó¼ÒÇë½ÌÒ»¸öһάÈÈ´«µ¼·½³Ì½¨Á¢µÄÎÊÌ⣨¸ß·ÖÇóÖú£©
ÒѾÓÐ3È˻ظ´
matlab Çó½âÈýÔª·½³Ì×é
ÒѾÓÐ9È˻ظ´
ÇóÖú£¬¼ÆËã·½³Ì×î´óÖµ
ÒѾÓÐ5È˻ظ´
ÖÐÐIJî·ÖÇó½â¶þάÈÈ´«µ¼µÄmatlab³ÌÐò
ÒѾÓÐ12È˻ظ´
erfcµÄÇó½âÎÊÌ⡣лл¡£
ÒѾÓÐ5È˻ظ´
ÇóÖú-°ïÎÒÓÃmathematics¼ÆËãÏÂÏÂÃæµÄ·½³Ì×é
ÒѾÓÐ13È˻ظ´
ÎʸöÈÈ´«µ¼ÎÊÌâµÄ¼ÆËã
ÒѾÓÐ15È˻ظ´
ÇóÖúmatlab±à³Ì£ºÒ»Î¬ÈÈ´«µ¼ÎÊÌâ
ÒѾÓÐ5È˻ظ´
ÊýÖµÇó½âN-S·½³ÌÒ»°ãÓÃʲô±à³Ì°¡£¿£¿£¿
ÒѾÓÐ9È˻ظ´
Çó½â£¬ÈÈ´«µÝ·½³Ì
ÒѾÓÐ6È˻ظ´
ÀûÓÃÓÐÏÞÔª·½·¨Çó½âMaxwell·½³Ì×é¡¢Á÷ÌåÁ¦Ñ§·½³ÌÒÔ¼°ÈÈ´«µ¼·½³ÌµÄÈí¼þ
ÒѾÓÐ10È˻ظ´
ÄÄλ¸ßÊÖÄÜÓÃmatlab±à³ÌÇó½âһά˲̬ÈÈ´«µ¼·½³Ì£¬ÏÈллÀ²
ÒѾÓÐ7È˻ظ´
¡¾ÇóÖú¡¿½ôÊø¸¿Ä£ÐÍÓëѦ¶¨ÚÌ·½³ÌµÄÇø±ðÓëÁªÏµ
ÒѾÓÐ13È˻ظ´
¡¾×ÊÔ´¡¿ÊýÖµ½â ¹âÏËÖÐ ·ÇÏßÐÔѦ¶¨ÚÌ·½³Ì Èí¼þ
ÒѾÓÐ27È˻ظ´
¡¾ÇóÖú¡¿Ò»µÀ²©Ê¿ÉúÃæÊÔÌ⣺Ѧ¶¨ÚÌ·½³ÌºÍÈÈ´«µ¼·½³Ì
ÒѾÓÐ10È˻ظ´
¡¾ÇóÖú¡¿½âº¬Ê±Ñ¦¶¨ÚÌ·½³ÌµÄÎÊÌâ
ÒѾÓÐ5È˻ظ´
¡¾ÇóÖú¡¿O3µÄѦ¶¨ÚÌ·½³Ì±í´ïʽ£¬¼°Ã¿Ò»ÏîµÄÎïÀíÒâÒå
ÒѾÓÐ4È˻ظ´

zhaohuiyuan
½ð³æ (ÖøÃûдÊÖ)
- Ó¦Öú: 2 (Ó×¶ùÔ°)
- ½ð±Ò: 1386.3
- É¢½ð: 3625
- ºì»¨: 21
- Ìû×Ó: 1140
- ÔÚÏß: 412.6Сʱ
- ³æºÅ: 2005943
- ×¢²á: 2012-09-16
- ÐÔ±ð: MM
- רҵ: ¹¤³ÌÈÈÎïÀíÏà¹Ø½»²æÁìÓò

2Â¥2014-03-06 18:06:57














r:ro;
=To;%r=0ʱµÄζÈÖµ
»Ø¸´´ËÂ¥
zhaohuiyuan