| ²é¿´: 1720 | »Ø¸´: 9 | ||
ÓÎ×Ó8921Ìú¸Ëľ³æ (ÖªÃû×÷¼Ò)
ÓÎ×Ó8921
|
[ÇóÖú]
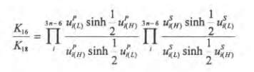
ÇëÎÊEquilibrium isotope effectsÈçºÎ¼ÆË㣿 ÒÑÓÐ1È˲ÎÓë
|
|
![]() |
||
|
|
||
agent99½û³æ (ÕýʽдÊÖ)
Îﻯ³ÌÐòÔ³
|
¡¾´ð°¸¡¿Ó¦Öú»ØÌû
¡ï ¡ï ¡ï ¡ï
¸Ðл²ÎÓ룬ӦÖúÖ¸Êý +1 zhou2009: ½ð±Ò+4 2014-02-19 09:39:07
|
|
![]() |
||
|
2Â¥2014-02-19 08:37:46
|
|
|
ÓÎ×Ó8921Ìú¸Ëľ³æ (ÖªÃû×÷¼Ò)
ÓÎ×Ó8921
|
||
![]() |
||
|
3Â¥2014-02-19 23:37:27
|
|
|
agent99½û³æ (ÕýʽдÊÖ)
Îﻯ³ÌÐòÔ³
|
||
![]() |
||
|
4Â¥2014-02-20 04:19:21
|
|
|
ÓÎ×Ó8921Ìú¸Ëľ³æ (ÖªÃû×÷¼Ò)
ÓÎ×Ó8921
|
||
![]() |
||
|
5Â¥2014-04-04 12:17:38
|
|
|
agent99½û³æ (ÕýʽдÊÖ)
Îﻯ³ÌÐòÔ³
|
||
![]() |
||
|
6Â¥2014-04-05 01:36:19
|
|
|
ÓÎ×Ó8921Ìú¸Ëľ³æ (ÖªÃû×÷¼Ò)
ÓÎ×Ó8921
|
» ±¾Ìû¸½¼þ×ÊÔ´Áбí
2014-04-05 09:42:26, 612.83 K
|
|
![]() |
||
|
7Â¥2014-04-05 09:42:47
|
|
|
CKXľ³æ (ÖøÃûдÊÖ)
|
||
|
8Â¥2014-04-06 06:36:38
|
|
|
ÓÎ×Ó8921Ìú¸Ëľ³æ (ÖªÃû×÷¼Ò)
ÓÎ×Ó8921
|
||
![]() |
||
|
9Â¥2014-04-06 09:01:18
|
|
|
gdzhzehгæ (³õÈëÎÄ̳)
|
» ±¾Ìû¸½¼þ×ÊÔ´Áбí
2014-05-10 19:11:40, 85.26 K
|
|
|
10Â¥2014-05-10 19:12:36
|
|













»Ø¸´´ËÂ¥
100