| 查看: 1366 | 回复: 14 | ||||
| 当前只显示满足指定条件的回帖,点击这里查看本话题的所有回帖 | ||||
AMYFZHANG木虫 (小有名气)
|
[求助]
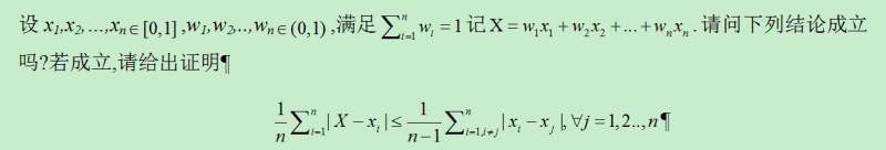
请教一道不等式的证明已有1人参与
|
|||
|
|
||||
feixiaolin荣誉版主 (文坛精英)
|
|
|||
|
12楼2014-01-05 22:13:00
|
|
|||
| 查看全部 15 个回答 | ||||
zywang1999银虫 (小有名气)
|
【答案】应助回帖
★ ★ ★ ★ ★ ★ ★ ★ ★ ★ ★ ★ ★ ★ ★ ★ ★ ★ ★ ★ ★ ★ ★ ★ ★ ★ ★ ★ ★ ★ ★ ★ ★ ★ ★ ★ ★ ★ ★ ★ ★ ★ ★ ★ ★ ★ ★ ★ ★ ★ ★ ★ ...
感谢参与,应助指数 +1 AMYFZHANG: 金币+100 2014-01-05 22:14:29
|
|||
![]() |
||||
|
2楼2014-01-05 18:19:48
|
|
|||
AMYFZHANG木虫 (小有名气)
|
||||
|
3楼2014-01-05 20:09:39
|
|
|||
AMYFZHANG木虫 (小有名气)
|
||||
|
4楼2014-01-05 21:00:11
|
|
|||













回复此楼
AMYFZHANG
