24СʱÈÈÃŰæ¿éÅÅÐаñ    

Znn3bq.jpeg
ÉÇÍ·´óѧº£Ñó¿ÆÑ§½ÓÊܵ÷¼Á
²é¿´: 1538  |  »Ø¸´: 7

zq19890124

гæ (³õÈëÎÄ̳)

[ÇóÖú] ¹ØÓÚ´ÅÖÍ»ØÏßµÄÇóÖú£¬

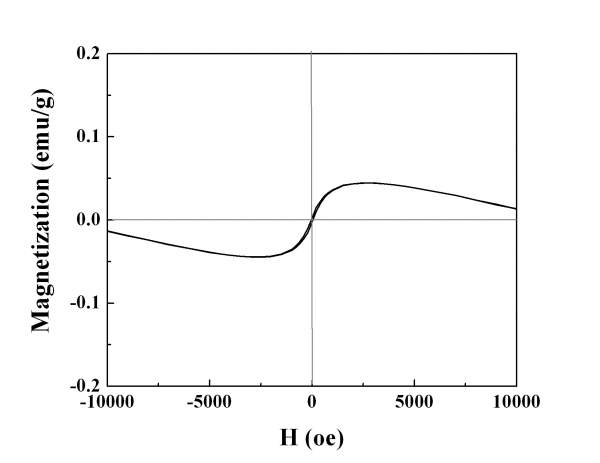
ÇóÖú¸÷λÇ×£¬ÎÒ²âÁ¿µÄ´ÅÖÍ»ØÏßÈçÏÂͼ£¬ÏëÎÊÒ»ÏÂΪʲô»á³öÏÖÕâÖÖÇé¿ö
¹ØÓÚ´ÅÖÍ»ØÏßµÄÇóÖú£¬
600.jpg
»Ø¸´´ËÂ¥

» ²ÂÄãϲ»¶

» ±¾Ö÷ÌâÏà¹Ø¼ÛÖµÌùÍÆ¼ö£¬¶ÔÄúͬÑùÓаïÖú:

ÒÑÔÄ   »Ø¸´´ËÂ¥   ¹Ø×¢TA ¸øTA·¢ÏûÏ¢ ËÍTAºì»¨ TAµÄ»ØÌû

wbcui

ÖÁ×ðľ³æ (ÖªÃû×÷¼Ò)

Â¥Ö÷ÊDZ¡Ä¤ÑùÆ·°É£¿
2Â¥2013-12-09 20:40:18
ÒÑÔÄ   »Ø¸´´ËÂ¥   ¹Ø×¢TA ¸øTA·¢ÏûÏ¢ ËÍTAºì»¨ TAµÄ»ØÌû

zq19890124

гæ (³õÈëÎÄ̳)

ÒýÓûØÌû:
2Â¥: Originally posted by wbcui at 2013-12-09 20:40:18
Â¥Ö÷ÊDZ¡Ä¤ÑùÆ·°É£¿

²»Êǰ¡ ¾ÍÊÇ·ÛÄ©×öµÄ È»ºó¾Í³öÏÖÕâÑùÁË
3Â¥2013-12-10 12:14:09
ÒÑÔÄ   »Ø¸´´ËÂ¥   ¹Ø×¢TA ¸øTA·¢ÏûÏ¢ ËÍTAºì»¨ TAµÄ»ØÌû

wbcui

ÖÁ×ðľ³æ (ÖªÃû×÷¼Ò)

ÒýÓûØÌû:
3Â¥: Originally posted by zq19890124 at 2013-12-10 13:14:09
²»Êǰ¡ ¾ÍÊÇ·ÛÄ©×öµÄ È»ºó¾Í³öÏÖÕâÑùÁË...

Ŷ
Â¥Ö÷ÑùÆ·ÖдÅÐÔºÜÈõ
»ù±¾¿ÉÒÔÈÏΪÊÇ¿¹´ÅÑùÆ·Öл¹ÓÐ΢Á¿Ìú´ÅÔÓÖ¾»òÕßÌú´Å²ôÔÓ
4Â¥2013-12-10 13:23:03
ÒÑÔÄ   »Ø¸´´ËÂ¥   ¹Ø×¢TA ¸øTA·¢ÏûÏ¢ ËÍTAºì»¨ TAµÄ»ØÌû

zq19890124

гæ (³õÈëÎÄ̳)

ÒýÓûØÌû:
4Â¥: Originally posted by wbcui at 2013-12-10 13:23:03
Ŷ
Â¥Ö÷ÑùÆ·ÖдÅÐÔºÜÈõ
»ù±¾¿ÉÒÔÈÏΪÊÇ¿¹´ÅÑùÆ·Öл¹ÓÐ΢Á¿Ìú´ÅÔÓÖ¾»òÕßÌú´Å²ôÔÓ...

ÄÇΪʲôÔÚµ½´ï±¥ºÍ´Å¸ÐӦǿ¶ÈÖ®ºó ·´¶ø»á³öÏÖ½µµÍµÄÇé¿öÄØ£¬¾ÍÊdzÉsÐ͵ÄÁË Ð»À²
5Â¥2013-12-11 10:59:58
ÒÑÔÄ   »Ø¸´´ËÂ¥   ¹Ø×¢TA ¸øTA·¢ÏûÏ¢ ËÍTAºì»¨ TAµÄ»ØÌû

bryano

ľ³æ (ÕýʽдÊÖ)

¡¾´ð°¸¡¿Ó¦Öú»ØÌû

¡ï ¡ï ¡ï ¡ï ¡ï ¡ï ¡ï ¡ï ¡ï ¡ï
¸Ðл²ÎÓ룬ӦÖúÖ¸Êý +1
zq19890124: ½ð±Ò+10, ¡ï¡ï¡ï¡ï¡ï×î¼Ñ´ð°¸, ·Ç³£¸ÐлÀ² 2013-12-11 15:05:59
ÕâÊǸöÌú´Å»òѹÌú´ÅÑùÆ·£¬±¥ºÍÒÔºóµôÏÂÈ¥ÊÇÒòΪ³Äµ×µÄ¿¹´ÅÐźš£´¦ÀíÆðÀ´±È½ÏÈÝÒ×£¬ºóÃæµÄÊÇÖ±Ïߣ¬×ö¸ö¼òµ¥¼ÆËã¿Û³ý¾ÍÄܵõ½Ë®Æ½µÄ±¥ºÍÏßÁË¡£
6Â¥2013-12-11 13:10:25
ÒÑÔÄ   »Ø¸´´ËÂ¥   ¹Ø×¢TA ¸øTA·¢ÏûÏ¢ ËÍTAºì»¨ TAµÄ»ØÌû

wbcui

ÖÁ×ðľ³æ (ÖªÃû×÷¼Ò)

ÒýÓûØÌû:
5Â¥: Originally posted by zq19890124 at 2013-12-11 11:59:58
ÄÇΪʲôÔÚµ½´ï±¥ºÍ´Å¸ÐӦǿ¶ÈÖ®ºó ·´¶ø»á³öÏÖ½µµÍµÄÇé¿öÄØ£¬¾ÍÊdzÉsÐ͵ÄÁË Ð»À²...

ÒòΪÄãµÄ¶ñÑùÆ·ÖÐÊÇ¿¹´ÅµÄ£¬Ö»ÊÇÓÐÉÙÁ¿Ìú´ÅÔÓÖÊ»òÕßÌú´Å±³¾°¡£
7Â¥2013-12-11 22:09:22
ÒÑÔÄ   »Ø¸´´ËÂ¥   ¹Ø×¢TA ¸øTA·¢ÏûÏ¢ ËÍTAºì»¨ TAµÄ»ØÌû

Jesse__S

ľ³æ (СÓÐÃûÆø)

ÒýÓûØÌû:
2Â¥: Originally posted by wbcui at 2013-12-09 20:40:18
Â¥Ö÷ÊDZ¡Ä¤ÑùÆ·°É£¿

ÄãºÃ~Çë½Ìһϣ¬±¡Ä¤ÑùÆ·ÈçºÎ»»Ëã³Éemu/gÄØ£¿±¡Ä¤ÖÊÁ¿ÒªÔõô²âÄØ£¿Ð¡°×¸ÕÈëÃÅ£¬»¹²»Ì«¶®£¬Ð»Ð»À²~
Stayhungry£¬stayfoolish
8Â¥2015-12-28 09:50:32
ÒÑÔÄ   »Ø¸´´ËÂ¥   ¹Ø×¢TA ¸øTA·¢ÏûÏ¢ ËÍTAºì»¨ TAµÄ»ØÌû
Ïà¹Ø°æ¿éÌø×ª ÎÒÒª¶©ÔÄÂ¥Ö÷ zq19890124 µÄÖ÷Ìâ¸üÐÂ
×î¾ßÈËÆøÈÈÌûÍÆ¼ö [²é¿´È«²¿] ×÷Õß »Ø/¿´ ×îºó·¢±í
[¿¼ÑÐ] ²ÄÁϹ¤³Ì281»¹Óе÷¼Á»ú»áÂð +34 xaw. 2026-04-11 35/1750 2026-04-13 22:22 by zhq0425
[¿¼ÑÐ] 284Çóµ÷¼Á +16 ÈÃÎÒÉϰ¶°É°¢Î÷ 2026-04-09 16/800 2026-04-13 22:18 by pies112
[¿¼ÑÐ] 293Çóµ÷¼Á +16 ÎÒ°®¸ßÊý¸ßÊý°®Î 2026-04-12 18/900 2026-04-13 21:47 by ѧԱJpLReM
[¿¼ÑÐ] ²ÄÁÏ085601µ÷¼Á +31 ºÎÈó²É123 2026-04-10 33/1650 2026-04-13 21:42 by ѧԱJpLReM
[¿¼ÑÐ] 300·ÖÇóµ÷¼Á £¨085501»úеר˶£¬±¾¿ÆÑï´ó£© +8 xu@841019 2026-04-11 9/450 2026-04-13 21:36 by xu@841019
[»ù½ðÉêÇë] Óб¬ÁÏ£¬Ò»¸öÇàÄê½ÌʦÂô·¿µÃ400Íò£¬È»ºó»»ÁËÒ»¸öËÄÇàñ×Ó +11 babu2015 2026-04-08 11/550 2026-04-13 16:33 by probebill
[¿¼ÑÐ] ²ÄÁÏ299ר˶Çóµ÷¼Á +13 +21 2026-04-09 13/650 2026-04-13 14:16 by ÕÅzhihao
[¿¼ÑÐ] Ò»Ö¾Ô¸085802 323·ÖÇóµ÷¼Á +13 drizzle_9 2026-04-12 14/700 2026-04-13 10:26 by Faiz5552
[¿¼ÑÐ] Çóµ÷¼Á£¬262»úеר˶ +8 àÅyyl 2026-04-08 8/400 2026-04-12 02:31 by Çï¶¹²ËÑ¿
[¿¼ÑÐ] 296Çóµ÷¼Á +8 Íô£¡£¿£¡ 2026-04-09 8/400 2026-04-11 21:02 by ÄæË®³Ë·ç
[½Ìʦ֮¼Ò] ÇëÎʵØÀí¡¢Ò£¸Ð·½Ã棬¿ÉÒÔ×öÄÄЩºáÏòÏîÄ¿°¡£¬×ÝÏòÍê²»³É¿¼ºË°¡ +3 ½õÒÂÎÀº®Õ½ 2026-04-07 5/250 2026-04-11 20:51 by Ô¥½·
[¿¼ÑÐ] 296Çóµ÷¼Á +6 Íô£¡£¿£¡ 2026-04-09 6/300 2026-04-11 11:25 by zhq0425
[¿¼ÑÐ] ũѧ0904 312Çóµ÷¼Á +6 Say Never 2026-04-10 6/300 2026-04-11 10:33 by wwj2530616
[¿¼ÑÐ] ¹ã¶«Ê¡ 085601 329·ÖÇóµ÷¼Á +14 Eddieddd 2026-04-10 14/700 2026-04-11 09:58 by bljnqdcc
[¿¼ÑÐ] 309Çóµ÷¼Á +14 wdhw 2026-04-10 15/750 2026-04-10 21:06 by zhouxiaoyu
[¿¼ÑÐ] Ò»Ö¾Ô¸¿ó´ó£¬²ÄÁϹ¤³Ìר˶314·Ö£¬0856¿Éµ÷¶¼¿ÉÒÔ +15 ÎÞи¿É»÷µÄ¾ÞÈË 2026-04-09 15/750 2026-04-10 18:10 by hmn_wj
[¿¼ÑÐ] һ־Ը³¶«´óѧ071000ÉúÎïѧѧ˶³õÊÔ·ÖÊý276Çóµ÷¼Á +20 Ľ¾øcc 2026-04-09 24/1200 2026-04-10 10:22 by xujun0624
[¿¼ÑÐ] ²ÄÁÏר˶µ÷¼Á +16 ¹þ¹þ¹þºðºðºð¹þ 2026-04-07 17/850 2026-04-09 21:16 by wutongshun
[¿¼ÑÐ] Ò»Ö¾Ô¸ÖпÆÔº105500רҵ×Ü·Ö315Çóµ÷¼Á +6 lallalh 2026-04-09 7/350 2026-04-09 17:51 by lallalh
[¿¼ÑÐ] ¼ÆËã»ú11408 287 Çóµ÷¼Á +3 LiLe5 2026-04-07 3/150 2026-04-07 23:15 by shanqishi
ÐÅÏ¢Ìáʾ
ÇëÌî´¦ÀíÒâ¼û