| ²é¿´: 1343 | »Ø¸´: 10 | ||||
dengwei_19ľ³æ (ÖøÃûдÊÖ)
Ìú³Ý½ð²»»»³Ïʵ¿É¿¿Ð¡Àɾý
|
[ÇóÖú]
ÇóÇúÏßÄâºÏÖмò»¯·½³Ì£¬·Ç³£¸Ðл
|
|||
|
|
||||
| »ØÌûÖ§³Ö ( ÏÔʾ֧³Ö¶È×î¸ßµÄǰ 50 Ãû ) | ||||
feixiaolinÈÙÓþ°æÖ÷ (ÎÄ̳¾«Ó¢)
|
|
|||
|
2Â¥2013-12-07 11:23:19
|
|
|||
feixiaolinÈÙÓþ°æÖ÷ (ÎÄ̳¾«Ó¢)
|
|
|||
|
5Â¥2013-12-07 16:49:29
|
|
|||
feixiaolinÈÙÓþ°æÖ÷ (ÎÄ̳¾«Ó¢)
|
» ±¾Ìû¸½¼þ×ÊÔ´Áбí
2013-12-09 23:34:25, 252.36 K
|
|||
|
10Â¥2013-12-09 23:34:24
|
|
|||
| ÆÕͨ»ØÌû | ||||
dengwei_19ľ³æ (ÖøÃûдÊÖ)
Ìú³Ý½ð²»»»³Ïʵ¿É¿¿Ð¡Àɾý
|
||||
|
3Â¥2013-12-07 11:54:07
|
|
|||
dengwei_19ľ³æ (ÖøÃûдÊÖ)
Ìú³Ý½ð²»»»³Ïʵ¿É¿¿Ð¡Àɾý
|
feixiaolin: ±à¼ÄÚÈÝ 2013-12-07 16:20
|
|||
|
4Â¥2013-12-07 11:57:54
|
|
|||
feixiaolinÈÙÓþ°æÖ÷ (ÎÄ̳¾«Ó¢)
|
» ±¾Ìû¸½¼þ×ÊÔ´Áбí
2013-12-07 23:14:47, 411.08 K
|
|||
|
6Â¥2013-12-07 23:18:10
|
|
|||
dengwei_19ľ³æ (ÖøÃûдÊÖ)
Ìú³Ý½ð²»»»³Ïʵ¿É¿¿Ð¡Àɾý
|
||||
|
7Â¥2013-12-07 23:26:59
|
|
|||
ºêÕÜ1991ľ³æ (ÕýʽдÊÖ)
ѧÕß
|
||||
![]() |
||||
|
8Â¥2013-12-09 18:10:13
|
|
|||
feixiaolinÈÙÓþ°æÖ÷ (ÎÄ̳¾«Ó¢)
|
¡¾´ð°¸¡¿Ó¦Öú»ØÌû
¡ï ¡ï ¡ï ¡ï ¡ï ¡ï ¡ï ¡ï ¡ï ¡ï ¡ï ¡ï ¡ï ¡ï ¡ï ¡ï ¡ï ¡ï ¡ï ¡ï ¡ï ¡ï ¡ï ¡ï ¡ï ¡ï ¡ï ¡ï ¡ï ¡ï ¡ï ¡ï ¡ï ¡ï ¡ï ¡ï ¡ï ¡ï ¡ï ¡ï ¡ï ¡ï ¡ï ¡ï ¡ï ¡ï ¡ï ¡ï ¡ï ¡ï ¡ï ¡ï ...
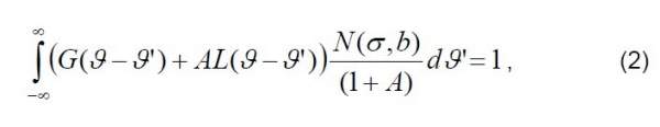
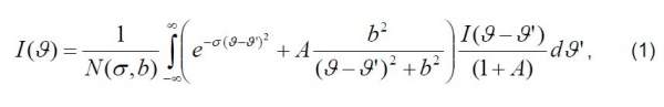
¸Ðл²ÎÓ룬ӦÖúÖ¸Êý +1 dengwei_19: ½ð±Ò+100, ¡ï¡ï¡ïºÜÓаïÖú, лл£¬ÎÊÌâÒѾ½â¾ö£¬ÁªÏµ³§¼Òºó³§¼Ò±íʾ¹«Ê½Ó¡Ë¢ÓдíÎ󡣡£¡£¡£1ʽÖеÄI(¦È'-¦È)ΪI(¦È), ×îºóÖ±½ÓÓøß˹º¯ÊýµÄÎ÷¸ñÂêÒ²¾ÍÊǰë¸ß¿íµÄÒ»°ë½â¾öµÄÎÊÌâ¡£¡£·Ç³£¸Ðл£¡100½ð±Ò·îÉÏ£¡ 2013-12-21 10:17:24
» ±¾Ìû¸½¼þ×ÊÔ´Áбí
2013-12-09 23:03:21, 70.5 K
|
|||
|
9Â¥2013-12-09 23:03:53
|
|
|||













»Ø¸´´ËÂ¥
