| ²é¿´: 1324 | »Ø¸´: 9 | ||
liuju1216ÖÁ×ðľ³æ (Ö°Òµ×÷¼Ò)
¼ÅįµÄÈÌÄÍ
|
[ÇóÖú]
°ïæ»Ò»Ï²Êͼ
|
|
|
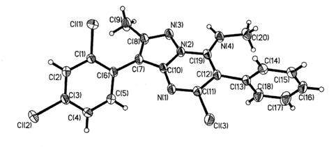
ÏÂÃæµÄ½á¹¹£¬ÎÄÕ±»Ñ¡ÖÐ×ö·âÃæ£¬ÒªÇó²Êͼ£¬Çë´óÏÀ°ïæ°Ñ¾§Ìå½á¹¹»³É²Êͼ£¨ºÃ¿´¾ÍÐУ©¡£Ð»Ð»À²£¡£¡£¡ clip_image002.jpg |
» ±¾Ìû¸½¼þ×ÊÔ´Áбí
-
»¶Ó¼à¶½ºÍ·´À¡£ºÐ¡Ä¾³æ½öÌṩ½»Á÷ƽ̨£¬²»¶Ô¸ÃÄÚÈݸºÔð¡£
±¾ÄÚÈÝÓÉÓû§×ÔÖ÷·¢²¼£¬Èç¹ûÆäÄÚÈÝÉæ¼°µ½ÖªÊ¶²úȨÎÊÌ⣬ÆäÔðÈÎÔÚÓÚÓû§±¾ÈË£¬Èç¶Ô°æÈ¨ÓÐÒìÒ飬ÇëÁªÏµÓÊÏ䣺xiaomuchong@tal.com - ¸½¼þ 1 : r120230g-3,6jiaan.rar
2013-11-27 09:49:44, 221.65 K
» ²ÂÄãϲ»¶
¡¾¸ßУÁªºÏ¾Ù°ì¡¿2026ÄêµÚÎå½ì·þÎñ»úÆ÷È˹ú¼Ê»áÒ飨ICoSR 2026£©
ÒѾÓÐ0È˻ظ´
ÉîÛÚ´óѧ»¯Ñ§Óë»·¾³¹¤³ÌѧԺ³¬·Ö×ÓÍŶÓÕÐÊÕ2026¼¶ÉêÇë-¿¼ºËÖÆ²©Ê¿Éú
ÒѾÓÐ8È˻ظ´
ÎÞ»ú»¯Ñ§ÂÛÎÄÈóÉ«/·ÒëÔõôÊÕ·Ñ?
ÒѾÓÐ148È˻ظ´
ÖÐÄÏ´óѧ»¯Ñ§»¯¹¤Ñ§ÔºÒ×СÒÕ½ÌÊÚ¿ÎÌâ×éÕÐÊÕ2026¼¶²©Ê¿Ñо¿Éú£¨µÚ¶þÂÖ£©
ÒѾÓÐ0È˻ظ´
ÇóÖú
ÒѾÓÐ0È˻ظ´
0703»¯Ñ§26¿¼Ñе÷¼Á£¬Ò»Ö¾Ô¸Äϲý´óѧ
ÒѾÓÐ2È˻ظ´
ÓÐûÓл¯Ñ§¡¢²ÄÁÏרҵµÄͬѧÐèÒªµ÷¼Á ¿¼ÂÇÌì½ò¸ßЧµÄ¿ÉÒÔÓʼþ»òÕß˽ÐÅ
ÒѾÓÐ1È˻ظ´
26Ä격ʿÕÐÉú
ÒѾÓÐ15È˻ظ´
½Î÷Àí¹¤´óѧ¹¦Äܾ§Ì¬²ÄÁÏ·½ÏòÁõËì¾ü¿ÎÌâ×éÕÐÊÕ2026ÄêÇï¼¾Èëѧ²©Ê¿Ñо¿Éú
ÒѾÓÐ10È˻ظ´
ÄþÏÄ´óѧÍÅ´ØÐ²ÄÁÏÍŶÓÕÐÊÕ²ÄÁÏ/»¯Ñ§/»¯¹¤×¨Òµ²©Ê¿Éú
ÒѾÓÐ0È˻ظ´
» ±¾Ö÷ÌâÏà¹Ø¼ÛÖµÌùÍÆ¼ö£¬¶ÔÄúͬÑùÓаïÖú:
¼±£¡£¡£¡ÓÃimageJ Ôõô°ÑÒ»×éͼƬ×éºÏ³ÉÒ»ÕÅÈýάͼ
ÒѾÓÐ11È˻ظ´
Çë¸ßÊÖ°ïæ»Ò»¸öÔ×Ó¶Ñ»ýµÄÕýÈý½Ç¶þÊ®ÃæÌåµÄÄ£ÐÍͼ
ÒѾÓÐ9È˻ظ´
CIFÎļþµÄͼÔõôÓÃDiamond»³öÀ´ £¨ÓÐͼ£©Ð»Ð»
ÒѾÓÐ16È˻ظ´
ÏÂÃæÕâ¸ö½á¹¹ÊÇÔõô»³öÀ´µÄ£¬ËÄܰïÎÒ»Ò»¸öÎҵĽṹ¸úÕâ¸öÀàËÆµÄͼ°¡~лл
ÒѾÓÐ17È˻ظ´
ÇóÖú¾§Ìå½á¹¹Í¼
ÒѾÓÐ3È˻ظ´
Çómatlab»Ò»¸öº¯ÊýµÄͼ
ÒѾÓÐ6È˻ظ´
ÇóÖú »µ¥¾§ÍÖÇòͼ£¬¶Ñ»ýͼºÍ½á¹¹Í¼
ÒѾÓÐ12È˻ظ´
ÄÄλ¸ßÊÖ°ïæ»Ò»¸ö¹â¿Ì°å£¨ÑÚÄ£°å£©Í¼Ö½£¬¼òµ¥µÄÕóÁнṹ¡£
ÒѾÓÐ24È˻ظ´
ÄÄλ¸ßÊÖ°ïÎÒ¿´ÏÂÕâÖÖÈýάͼÊÇÓÃʲôÈí¼þ»µÄ£¿
ÒѾÓÐ11È˻ظ´
¡¾ÇóÖú¡¿tecplotÄÜ·ñ×Ô¼ºµ¼ÈëÒ»¸ötxtÊý¾Ý»Ò»¸öÈýάͼ£¿
ÒѾÓÐ13È˻ظ´
¡¾ÇóÖú¡¿°ïæÓÃChemDraw»Ò»ÏÂÓлúÎï½á¹¹Ê½
ÒѾÓÐ5È˻ظ´
¡¾ÇóÖú¡¿Çóµç½â²Û½á¹¹Í¼
ÒѾÓÐ8È˻ظ´
¡¾ÇóÖú¡¿ÈçºÎ»Ò»¸ö»ØÁ÷×°ÖÃͼ
ÒѾÓÐ23È˻ظ´
ÏëÓÃMaple»Ò»¸öͼÐÎ
ÒѾÓÐ7È˻ظ´

avgon
ÖÁ×ðľ³æ (ÖøÃûдÊÖ)
- Ó¦Öú: 288 (´óѧÉú)
- ½ð±Ò: 12539.7
- É¢½ð: 200
- ºì»¨: 40
- Ìû×Ó: 1345
- ÔÚÏß: 551.7Сʱ
- ³æºÅ: 458435
- ×¢²á: 2007-11-13
- ÐÔ±ð: GG
- רҵ: ÎïÀíѧI
¡¾´ð°¸¡¿Ó¦Öú»ØÌû
¡ï ¡ï ¡ï ¡ï ¡ï ¡ï ¡ï ¡ï ¡ï ¡ï ¡ï ¡ï ¡ï ¡ï ¡ï ¡ï ¡ï ¡ï ¡ï ¡ï ¡ï ¡ï ¡ï ¡ï ¡ï ¡ï ¡ï ¡ï ¡ï ¡ï ¡ï ¡ï ¡ï ¡ï ¡ï ¡ï ¡ï ¡ï ¡ï ¡ï
lijunjie84: »ØÌûÖö¥ 2013-11-30 20:18:12
liuju1216: ½ð±Ò+40 2014-01-15 10:58:39
lijunjie84: »ØÌûÖö¥ 2013-11-30 20:18:12
liuju1216: ½ð±Ò+40 2014-01-15 10:58:39
| ÒѾ¼ÓÉÏ£¬²¢¸ÄÁËϱ³¾°É«µ÷£¬¿´ÆðÀ´¸üºÃ¿´Ð©¡£ |
» ±¾Ìû¸½¼þ×ÊÔ´Áбí
-
»¶Ó¼à¶½ºÍ·´À¡£ºÐ¡Ä¾³æ½öÌṩ½»Á÷ƽ̨£¬²»¶Ô¸ÃÄÚÈݸºÔð¡£
±¾ÄÚÈÝÓÉÓû§×ÔÖ÷·¢²¼£¬Èç¹ûÆäÄÚÈÝÉæ¼°µ½ÖªÊ¶²úȨÎÊÌ⣬ÆäÔðÈÎÔÚÓÚÓû§±¾ÈË£¬Èç¶Ô°æÈ¨ÓÐÒìÒ飬ÇëÁªÏµÓÊÏ䣺xiaomuchong@tal.com - ¸½¼þ 1 : ²Êͼ.tif
2013-11-27 14:50:16, 755.21 K

4Â¥2013-11-27 14:51:06
avgon
ÖÁ×ðľ³æ (ÖøÃûдÊÖ)
- Ó¦Öú: 288 (´óѧÉú)
- ½ð±Ò: 12539.7
- É¢½ð: 200
- ºì»¨: 40
- Ìû×Ó: 1345
- ÔÚÏß: 551.7Сʱ
- ³æºÅ: 458435
- ×¢²á: 2007-11-13
- ÐÔ±ð: GG
- רҵ: ÎïÀíѧI
¡¾´ð°¸¡¿Ó¦Öú»ØÌû
¡ï ¡ï ¡ï ¡ï ¡ï ¡ï ¡ï ¡ï ¡ï ¡ï ¡ï ¡ï ¡ï ¡ï ¡ï ¡ï ¡ï ¡ï ¡ï ¡ï ¡ï ¡ï ¡ï ¡ï ¡ï ¡ï ¡ï ¡ï ¡ï ¡ï ¡ï ¡ï ¡ï ¡ï ¡ï ¡ï ¡ï ¡ï ¡ï ¡ï ¡ï ¡ï ¡ï ¡ï ¡ï ¡ï ¡ï ¡ï ¡ï ¡ï ¡ï ¡ï ...
liuju1216: ½ð±Ò+50, ͼͦºÃµÄ£¬±³¾°Ì«ìÅÁË¡£µ¥Ò»±³¾°¹À¼Æ¾Í¿ÉÒÔ£¡£¡ 2013-11-27 22:36:02
lijunjie84: »ØÌûÖö¥ 2013-11-30 20:18:22
liuju1216: ½ð±Ò+10 2014-01-15 10:58:48
liuju1216: ½ð±Ò+50, ͼͦºÃµÄ£¬±³¾°Ì«ìÅÁË¡£µ¥Ò»±³¾°¹À¼Æ¾Í¿ÉÒÔ£¡£¡ 2013-11-27 22:36:02
lijunjie84: »ØÌûÖö¥ 2013-11-30 20:18:22
liuju1216: ½ð±Ò+10 2014-01-15 10:58:48
| ¶Ô²Êͼ£²×öÁ˵ãСÐÞÕý |
» ±¾Ìû¸½¼þ×ÊÔ´Áбí
-
»¶Ó¼à¶½ºÍ·´À¡£ºÐ¡Ä¾³æ½öÌṩ½»Á÷ƽ̨£¬²»¶Ô¸ÃÄÚÈݸºÔð¡£
±¾ÄÚÈÝÓÉÓû§×ÔÖ÷·¢²¼£¬Èç¹ûÆäÄÚÈÝÉæ¼°µ½ÖªÊ¶²úȨÎÊÌ⣬ÆäÔðÈÎÔÚÓÚÓû§±¾ÈË£¬Èç¶Ô°æÈ¨ÓÐÒìÒ飬ÇëÁªÏµÓÊÏ䣺xiaomuchong@tal.com - ¸½¼þ 1 : ²Êͼ3.tif
2013-11-27 17:04:04, 7.39 M

8Â¥2013-11-27 17:04:25
yuezhifang
½ð³æ (СÓÐÃûÆø)
- Ó¦Öú: 35 (СѧÉú)
- ½ð±Ò: 917.1
- É¢½ð: 10
- ºì»¨: 4
- Ìû×Ó: 190
- ÔÚÏß: 478Сʱ
- ³æºÅ: 1966190
- ×¢²á: 2012-08-31
- ÐÔ±ð: MM
- רҵ: Åäλ»¯Ñ§
¡¾´ð°¸¡¿Ó¦Öú»ØÌû
¡ï ¡ï ¡ï ¡ï ¡ï ¡ï ¡ï ¡ï ¡ï ¡ï ¡ï ¡ï
lijunjie84: »ØÌûÖö¥ 2013-11-30 20:18:27
lijunjie84: ½ð±Ò+2, ÐÁ¿àÁË£¡ 2013-11-30 20:18:38
liuju1216: ½ð±Ò+10 2014-01-15 10:59:02
lijunjie84: »ØÌûÖö¥ 2013-11-30 20:18:27
lijunjie84: ½ð±Ò+2, ÐÁ¿àÁË£¡ 2013-11-30 20:18:38
liuju1216: ½ð±Ò+10 2014-01-15 10:59:02
| ÍøËÙ²»ºÃ¡£ÉÏ´«µÄÂýÁË |
» ±¾Ìû¸½¼þ×ÊÔ´Áбí
-
»¶Ó¼à¶½ºÍ·´À¡£ºÐ¡Ä¾³æ½öÌṩ½»Á÷ƽ̨£¬²»¶Ô¸ÃÄÚÈݸºÔð¡£
±¾ÄÚÈÝÓÉÓû§×ÔÖ÷·¢²¼£¬Èç¹ûÆäÄÚÈÝÉæ¼°µ½ÖªÊ¶²úȨÎÊÌ⣬ÆäÔðÈÎÔÚÓÚÓû§±¾ÈË£¬Èç¶Ô°æÈ¨ÓÐÒìÒ飬ÇëÁªÏµÓÊÏ䣺xiaomuchong@tal.com - ¸½¼þ 1 : ͼ.jpg
2013-11-28 15:07:24, 1.89 M
10Â¥2013-11-28 15:08:19
avgon
ÖÁ×ðľ³æ (ÖøÃûдÊÖ)
- Ó¦Öú: 288 (´óѧÉú)
- ½ð±Ò: 12539.7
- É¢½ð: 200
- ºì»¨: 40
- Ìû×Ó: 1345
- ÔÚÏß: 551.7Сʱ
- ³æºÅ: 458435
- ×¢²á: 2007-11-13
- ÐÔ±ð: GG
- רҵ: ÎïÀíѧI
¡¾´ð°¸¡¿Ó¦Öú»ØÌû
¡ï ¡ï ¡ï ¡ï ¡ï ¡ï ¡ï ¡ï ¡ï ¡ï ¡ï ¡ï ¡ï ¡ï ¡ï ¡ï ¡ï ¡ï ¡ï ¡ï ¡ï ¡ï ¡ï ¡ï ¡ï ¡ï ¡ï ¡ï ¡ï ¡ï ¡ï ¡ï ¡ï ¡ï ¡ï ¡ï ¡ï ¡ï ¡ï ¡ï ¡ï ¡ï ¡ï ¡ï ¡ï ¡ï ¡ï ¡ï ¡ï ¡ï
¸Ðл²ÎÓ룬ӦÖúÖ¸Êý +1
liuju1216: ½ð±Ò+50 2013-11-27 13:53:41
¸Ðл²ÎÓ룬ӦÖúÖ¸Êý +1
liuju1216: ½ð±Ò+50 2013-11-27 13:53:41
| ÒÔÇò¹÷Ä£ÐÍ»³ö£¬¼û¸½¼þ£¬Ï£ÍûÊÇÄãÏëÒªµÄЧ¹û |
» ±¾Ìû¸½¼þ×ÊÔ´Áбí
-
»¶Ó¼à¶½ºÍ·´À¡£ºÐ¡Ä¾³æ½öÌṩ½»Á÷ƽ̨£¬²»¶Ô¸ÃÄÚÈݸºÔð¡£
±¾ÄÚÈÝÓÉÓû§×ÔÖ÷·¢²¼£¬Èç¹ûÆäÄÚÈÝÉæ¼°µ½ÖªÊ¶²úȨÎÊÌ⣬ÆäÔðÈÎÔÚÓÚÓû§±¾ÈË£¬Èç¶Ô°æÈ¨ÓÐÒìÒ飬ÇëÁªÏµÓÊÏ䣺xiaomuchong@tal.com - ¸½¼þ 1 : ²Êͼ.tif
2013-11-27 11:25:48, 772.9 K

2Â¥2013-11-27 11:26:28
liuju1216
ÖÁ×ðľ³æ (Ö°Òµ×÷¼Ò)
¼ÅįµÄÈÌÄÍ
- Ó¦Öú: 24 (СѧÉú)
- ¹ó±ö: 1.108
- ½ð±Ò: 10602.8
- É¢½ð: 340
- ºì»¨: 22
- Ìû×Ó: 3679
- ÔÚÏß: 577.5Сʱ
- ³æºÅ: 217582
- ×¢²á: 2006-03-12
- ÐÔ±ð: GG
- רҵ: Ò©Îﻯѧ

3Â¥2013-11-27 13:40:39
liuju1216
ÖÁ×ðľ³æ (Ö°Òµ×÷¼Ò)
¼ÅįµÄÈÌÄÍ
- Ó¦Öú: 24 (СѧÉú)
- ¹ó±ö: 1.108
- ½ð±Ò: 10602.8
- É¢½ð: 340
- ºì»¨: 22
- Ìû×Ó: 3679
- ÔÚÏß: 577.5Сʱ
- ³æºÅ: 217582
- ×¢²á: 2006-03-12
- ÐÔ±ð: GG
- רҵ: Ò©Îﻯѧ

5Â¥2013-11-27 14:55:43
avgon
ÖÁ×ðľ³æ (ÖøÃûдÊÖ)
- Ó¦Öú: 288 (´óѧÉú)
- ½ð±Ò: 12539.7
- É¢½ð: 200
- ºì»¨: 40
- Ìû×Ó: 1345
- ÔÚÏß: 551.7Сʱ
- ³æºÅ: 458435
- ×¢²á: 2007-11-13
- ÐÔ±ð: GG
- רҵ: ÎïÀíѧI
¡¾´ð°¸¡¿Ó¦Öú»ØÌû
¡ï ¡ï ¡ï ¡ï ¡ï ¡ï ¡ï ¡ï ¡ï ¡ï ¡ï ¡ï ¡ï ¡ï ¡ï ¡ï ¡ï ¡ï ¡ï ¡ï ¡ï ¡ï ¡ï ¡ï ¡ï ¡ï ¡ï ¡ï ¡ï ¡ï ¡ï ¡ï ¡ï ¡ï ¡ï ¡ï ¡ï ¡ï ¡ï ¡ï ¡ï ¡ï ¡ï ¡ï ¡ï ¡ï ¡ï ¡ï ¡ï ¡ï
liuju1216: ½ð±Ò+50, Õâ¸ö»¹Ëã¿ÉÒÔ 2013-11-27 22:39:39
liuju1216: ½ð±Ò+50, Õâ¸ö»¹Ëã¿ÉÒÔ 2013-11-27 22:39:39
| How about this one ? |
» ±¾Ìû¸½¼þ×ÊÔ´Áбí
-
»¶Ó¼à¶½ºÍ·´À¡£ºÐ¡Ä¾³æ½öÌṩ½»Á÷ƽ̨£¬²»¶Ô¸ÃÄÚÈݸºÔð¡£
±¾ÄÚÈÝÓÉÓû§×ÔÖ÷·¢²¼£¬Èç¹ûÆäÄÚÈÝÉæ¼°µ½ÖªÊ¶²úȨÎÊÌ⣬ÆäÔðÈÎÔÚÓÚÓû§±¾ÈË£¬Èç¶Ô°æÈ¨ÓÐÒìÒ飬ÇëÁªÏµÓÊÏ䣺xiaomuchong@tal.com - ¸½¼þ 1 : ²Êͼ1.tif
2013-11-27 16:46:25, 718.55 K

6Â¥2013-11-27 16:46:45
avgon
ÖÁ×ðľ³æ (ÖøÃûдÊÖ)
- Ó¦Öú: 288 (´óѧÉú)
- ½ð±Ò: 12539.7
- É¢½ð: 200
- ºì»¨: 40
- Ìû×Ó: 1345
- ÔÚÏß: 551.7Сʱ
- ³æºÅ: 458435
- ×¢²á: 2007-11-13
- ÐÔ±ð: GG
- רҵ: ÎïÀíѧI
¡¾´ð°¸¡¿Ó¦Öú»ØÌû
| Ñ¡×÷·âÃæµÄ»°£¬ÒÕÊõÒ»µãµÄЧ¹ûÓ¦¸Ã±È½ÏºÃ£¬ÏÂÃæÕâÕŸø±³¾°»»³ÉÁËÀ¶Ìì´óº£µÄЧ¹û¡£ |
» ±¾Ìû¸½¼þ×ÊÔ´Áбí
-
»¶Ó¼à¶½ºÍ·´À¡£ºÐ¡Ä¾³æ½öÌṩ½»Á÷ƽ̨£¬²»¶Ô¸ÃÄÚÈݸºÔð¡£
±¾ÄÚÈÝÓÉÓû§×ÔÖ÷·¢²¼£¬Èç¹ûÆäÄÚÈÝÉæ¼°µ½ÖªÊ¶²úȨÎÊÌ⣬ÆäÔðÈÎÔÚÓÚÓû§±¾ÈË£¬Èç¶Ô°æÈ¨ÓÐÒìÒ飬ÇëÁªÏµÓÊÏ䣺xiaomuchong@tal.com - ¸½¼þ 1 : ²Êͼ2.tif
2013-11-27 16:58:27, 7.39 M

7Â¥2013-11-27 16:59:28
yuezhifang
½ð³æ (СÓÐÃûÆø)
- Ó¦Öú: 35 (СѧÉú)
- ½ð±Ò: 917.1
- É¢½ð: 10
- ºì»¨: 4
- Ìû×Ó: 190
- ÔÚÏß: 478Сʱ
- ³æºÅ: 1966190
- ×¢²á: 2012-08-31
- ÐÔ±ð: MM
- רҵ: Åäλ»¯Ñ§
9Â¥2013-11-28 14:20:49













»Ø¸´´ËÂ¥