| 查看: 1329 | 回复: 4 | ||
[求助]
求分析CV曲线,本人新手,多谢啦!!!
|
|
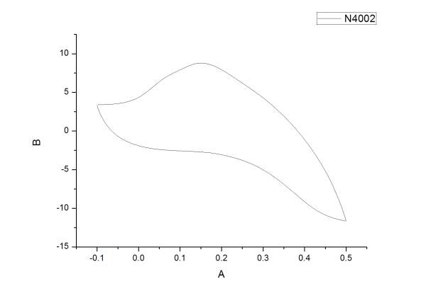
这是本人做的Co304的一个循环福安曲线,大家看看是不是正常,能不能大体估计一下比电容是多少啊??本人新手,第一次做CV曲线。电解质是KOH。不知道怎么分析这个图,求大神指点啊!!!横坐标是电压V,纵坐标是A/g。 Graph1.jpg [ Last edited by dongdong6 on 2013-11-23 at 19:31 ] |
» 猜你喜欢
310 070300化学求调剂
已经有6人回复
福建师范大学 院士团队 招2026级博士1名
已经有10人回复
分析化学论文润色/翻译怎么收费?
已经有61人回复
广西师范大学化学与药学学院杨秀林课题组2026年拟招收博士研究生1名
已经有25人回复
26年储能、电池方向博士申请
已经有1人回复
求调剂,本科吉大,一志愿华工339
已经有2人回复
意大利博洛尼亚大学招聘研究助理2名(2D材料/锂离子与钠离子电池方向)
已经有1人回复
关于碳量子点抗菌的研究
已经有15人回复
南大化学调剂
已经有11人回复
硫酸钠溶液浓度与密度曲线
已经有0人回复
0703调剂
已经有2人回复
» 本主题相关价值贴推荐,对您同样有帮助:
【求助】这样的CV曲线反映了什么过程?
已经有7人回复
CV曲线求帮分析下!
已经有6人回复
求助一个关于CV曲线的初级问题
已经有9人回复
求助大家怎么使用origin8.0做CV曲线
已经有12人回复
电化学cv曲线分析
已经有12人回复
使用不同版本Origin求同一条CV曲线的积分面积,得到不同的数值,且差异很大。
已经有11人回复
大神帮我分析分析CV曲线吧,小妹跪求
已经有5人回复
CV曲线 求分析
已经有3人回复
Cu@Pd纳米粒子CV曲线,求助高手分析,,,
已经有7人回复
跪求指点,超级电容器,CV曲线不对称
已经有13人回复
原子吸收 标准曲线相关问题,谢谢大家了。。
已经有11人回复
求大家帮忙分析下这个CV曲线吧
已经有10人回复
帮忙分析一下这个tafel曲线,急~~~谢谢!
已经有10人回复
怎样在origin里求CV闭合曲线的积分,以及怎样根据CV曲线求算电容?谢谢啦
已经有12人回复
【求助】CV曲线中氢吸脱附峰电量的计算
已经有20人回复
【求助】如何处理CV曲线,将其导入Excel中?
已经有5人回复
【求助】锂电负极材料氧化锡的CV曲线问题!
已经有5人回复
【求助】CV曲线怎么计算比电容呢?
已经有17人回复
【求助】急问CV曲线用origin处理时不能平滑吗?
已经有15人回复
【求助】CV曲线中峰电流和扫描速度平方根之间的斜率数值代表了什么?
已经有15人回复

biger
铜虫 (正式写手)
- 应助: 44 (小学生)
- 金币: 3979.1
- 散金: 200
- 红花: 27
- 帖子: 969
- 在线: 201.5小时
- 虫号: 2009617
- 注册: 2012-09-18
- 性别: GG
- 专业: 电化学

2楼2013-11-23 21:05:51

3楼2013-11-23 21:16:20
4楼2013-11-24 08:06:50
bocui
木虫 (著名写手)
墨虫
- 应助: 33 (小学生)
- 金币: 5587.8
- 散金: 170
- 红花: 12
- 沙发: 1
- 帖子: 1851
- 在线: 466.9小时
- 虫号: 2659332
- 注册: 2013-09-16
- 性别: GG
- 专业: 聚合物共混与复合材料

5楼2013-11-24 12:06:26













回复此楼