| 查看: 484 | 回复: 1 | |||
[求助]
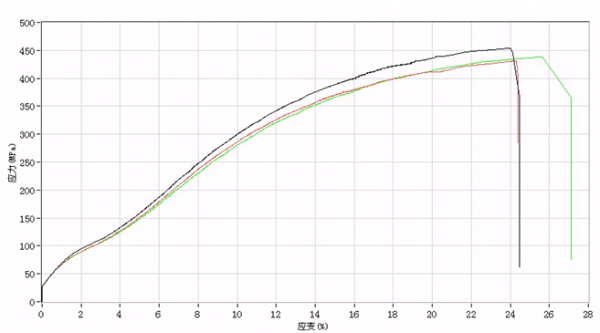
高分子材料的回复性能
|
|||
![]() |
|||
|
|
|||
橡胶人荣誉版主 (文坛精英)
|
|||
|
2楼2013-11-19 13:53:26
|
|














回复此楼


