| 查看: 1055 | 回复: 0 | ||
[求助]
关于耦合谐振子的问题
|
|
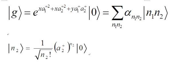
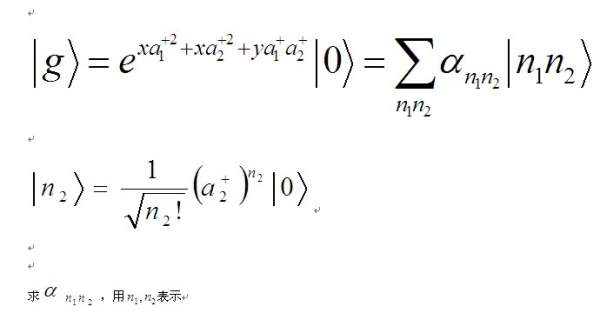
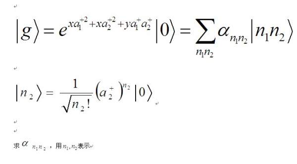
第一个式子中的x,y是常数,第二个式子是谐振子量子态与真空态之间关系的公式,想问一下怎么通过第二个式子来确定第一个式子的第二个等号后面的式子的系数?其实本人对着两个式子具体的意思都不太懂,有哪位好心人能给讲讲或者发个文献链接?十分感谢~ R5O)9J0ZN)DM~PCUS5`@9PN.jpg R5O)9J0ZN)DM~PCUS5`@9PN.jpg |
» 猜你喜欢
英一数一408,总分284,二战真诚求调剂
已经有5人回复
083000环境科学与工程调剂,总分281
已经有4人回复
求调剂
已经有3人回复
食品工程专硕一志愿中海洋309求调剂
已经有10人回复
085600材料与化工调剂
已经有14人回复
一志愿北化085600材料专硕275|有文章专利|求调剂
已经有10人回复
材料科学与工程求调剂
已经有9人回复
一志愿 南京航空航天大学 ,080500材料科学与工程学硕
已经有3人回复
材料科学与工程调剂
已经有10人回复
274求调剂
已经有4人回复
找到一些相关的精华帖子,希望有用哦~
COMSOL多场耦合求解问题
已经有3人回复
量子态间的耦合是什么意思
已经有6人回复
求教:声固耦合中薄膜的振动问题
已经有20人回复
关于fluent中壁面耦合传热的问题
已经有10人回复
请教fluent里面流固耦合换热的问题
已经有16人回复
comsol流动传热耦合结果有问题
已经有5人回复
关于ANSYS Workbench流固耦合的问题
已经有29人回复
关于热应力分析的耦合问题
已经有20人回复
关于光纤和光源耦合的问题
已经有9人回复
关于光耦合问题
已经有6人回复
求助关于光纤耦合损耗的问题
已经有14人回复
有关论文里核磁图表述中耦合常数J的问题
已经有3人回复
固液耦合传热问题
已经有8人回复
【求助】请教大家一个问题,关于反铁磁耦合的
已经有14人回复
【求助】关于核磁共振氢谱耦合的问题
已经有8人回复
【求助】关于流固耦合问题ansys
已经有13人回复
科研从小木虫开始,人人为我,我为人人














回复此楼
点击这里搜索更多相关资源
10