| 查看: 781 | 回复: 3 | ||
应物贺兴龙铜虫 (小有名气)
|
[求助]
关于BGK方程的数值模拟问题
|
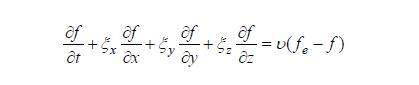
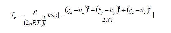
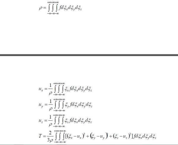
我最近在蒸发系统的波尔兹曼方程求解,使用BGK方法后得到BGK方程,是一个6元的偏微分方程,这个求解析解有点麻烦能不能有啥软件或者程序求解这个复杂的偏微分方程啊 ![]() ![]() ![]() ![]() ![]() ![]() [ Last edited by 应物贺兴龙 on 2013-11-8 at 14:36 ] |
» 猜你喜欢
281求调剂(0805)
已经有8人回复
环境领域全国重点实验室招收博士1-2名
已经有3人回复
材料专硕306英一数二
已经有10人回复
301求调剂
已经有6人回复
一志愿天津大学化学工艺专业(081702)315分求调剂
已经有7人回复
302求调剂
已经有6人回复
26博士申请
已经有3人回复
268求调剂
已经有3人回复
311求调剂
已经有10人回复
被我言中:新模板不强调格式了,假专家开始管格式了
已经有4人回复
» 本主题相关价值贴推荐,对您同样有帮助:
一个1stOpt的初级问题:复数方程组计算问题(有代码)
已经有5人回复
关于matlab求解非线性指数方程组出现问题
已经有3人回复
抛物型偏微分方程的数值解求解问题,谢谢!
已经有14人回复
matlab新手求助一下关于解决一次方程解析解的问题
已经有4人回复
关于matlab线性规划 背包问题的 解法 求救呀~~方程知道 但不知道如何解答····
已经有4人回复
请问关于泊松方程的问题
已经有8人回复
数值方法求解偏微分方程的问题
已经有4人回复
关于origin 7.0自定义方程拟合问题
已经有6人回复
【求助】金币求助高手能否指点如何画出含分叉问题的微分方程组的相图
已经有3人回复
【求助】请教一个关于解方程的问题
已经有8人回复

shaolinsi737
铁杆木虫 (小有名气)
- 应助: 6 (幼儿园)
- 金币: 8399.2
- 红花: 1
- 帖子: 285
- 在线: 76.6小时
- 虫号: 324675
- 注册: 2007-03-16
- 性别: GG
- 专业: 教育管理学
2楼2013-11-09 10:05:46
应物贺兴龙
铜虫 (小有名气)
- 应助: 1 (幼儿园)
- 金币: 100.2
- 散金: 71
- 帖子: 87
- 在线: 20.4小时
- 虫号: 2218042
- 注册: 2013-01-02
- 性别: GG
- 专业: 交叉学科中的光学问题

3楼2013-11-09 18:24:28

4楼2013-11-11 10:40:29















回复此楼
50