| ²é¿´: 2760 | »Ø¸´: 6 | ||
| ±¾Ìû²úÉú 1 ¸ö ²©Ñ§EPI £¬µã»÷ÕâÀï½øÐв鿴 | ||
dj890520½ð³æ (ÕýʽдÊÖ)
|
[ÇóÖú]
Îü¸½µÈÎÂÏßBETÄ£ÄâÊý¾Ý´¦Àí
|
|
| ÎÒÏÖÔÚÔÚ´¦ÀíÎü¸½µÈÎÂÏßµÄÊý¾Ý£¬ÓÃBETÄ£ÐÍÄâºÏorigin´¦Àí£¬½á¹ûÊdz£ÊýCÓиºÊý£¬²»ÖªµÀÊÇʲôÔÒò£¬Çë°ïæ·ÖÎöһϣ¬Íò·Ö¸Ðл£¡ |
» ²ÂÄãϲ»¶
Ò»Ö¾Ô¸ÖÐÄÏ»¯Ñ§337Çóµ÷¼Á
ÒѾÓÐ5È˻ظ´
281Çóµ÷¼Á£¨0805£©
ÒѾÓÐ23È˻ظ´
265Çóµ÷¼Á
ÒѾÓÐ9È˻ظ´
279·ÖÇóµ÷¼Á Ò»Ö¾Ô¸211
ÒѾÓÐ10È˻ظ´
ÕÐÊÕµ÷¼Á˶ʿ
ÒѾÓÐ12È˻ظ´
296Çóµ÷¼Á
ÒѾÓÐ8È˻ظ´
ÕÐÊÕ²©Ê¿1-2ÈË
ÒѾÓÐ3È˻ظ´
085700×ÊÔ´Óë»·¾³308Çóµ÷¼Á
ÒѾÓÐ11È˻ظ´
274Çóµ÷¼Á
ÒѾÓÐ8È˻ظ´
290Çóµ÷¼Á
ÒѾÓÐ4È˻ظ´
» ±¾Ö÷ÌâÏà¹Ø¼ÛÖµÌùÍÆ¼ö£¬¶ÔÄúͬÑùÓаïÖú:
Îü¸½µÈÎÂÏ߲ⶨ·½·¨ÊÇ·ñÕýÈ·
ÒѾÓÐ27È˻ظ´
Çë¸ßÈ˰ïÎÒ¿´¿´BETÎü¸½ÍѸ½Ïß
ÒѾÓÐ20È˻ظ´
13X ·Ö×Óɸ½á¹¹ÓÅ»¯£¬Îü¸½µÈÎÂÏß
ÒѾÓÐ6È˻ظ´
·ÐʯµÄASAP2020µªÎü¸½Êý¾Ý·ÖÎö
ÒѾÓÐ9È˻ظ´
¹ØÓÚÎü¸½µÈÎÂÏßµÄÎÊÌâ
ÒѾÓÐ26È˻ظ´
Îü¸½µÈÎÂÏߺÍÎü¸½¶¯Á¦Ñ§ÎÊÌâ Çó½Ì£¡£¡
ÒѾÓÐ11È˻ظ´
ÌìÈ»·ÐʯµÄµªÎü¸½µÈÎÂÏß·ÖÎö
ÒѾÓÐ7È˻ظ´
µªÆøÎü¸½µÈÎÂÏßÀàÐÍ
ÒѾÓÐ13È˻ظ´
BETµÈÎÂÏß²»±ÕºÏ£¬Ê²Ã´Òâ˼£¿
ÒѾÓÐ18È˻ظ´
BETµÈÎÂÏßÀàÐÍÅжÏ
ÒѾÓÐ7È˻ظ´
ÎïÀíÎü¸½ÒÇÎü¸½µÈÎÂÏß
ÒѾÓÐ19È˻ظ´
¡¾ÇóÖú¡¿Îü¸½µÈÎÂÏßÊÇÇúÏßÊÇÔõô»ØÊ°¡£¿
ÒѾÓÐ21È˻ظ´
¡¾ÌÖÂÛ¡¿¹ØÓÚú½¹µÄµªÆøÎü¸½µÈÎÂÏß
ÒѾÓÐ29È˻ظ´
jinkan
Ìú¸Ëľ³æ (ÖøÃûдÊÖ)
- ²©Ñ§EPI: 1
- Ó¦Öú: 12 (СѧÉú)
- ½ð±Ò: 8022.2
- ºì»¨: 8
- Ìû×Ó: 1161
- ÔÚÏß: 446.7Сʱ
- ³æºÅ: 1619078
- ×¢²á: 2012-02-15
- ÐÔ±ð: GG
- רҵ: °²È«¿ÆÑ§Ó빤³Ì
¡¾´ð°¸¡¿Ó¦Öú»ØÌû
¡ï ¡ï ¡ï
dj890520: ½ð±Ò+3, ²©Ñ§EPI+1, ¡ï¡ï¡ïºÜÓаïÖú 2013-11-04 10:28:12
dj890520: ½ð±Ò+3, ²©Ñ§EPI+1, ¡ï¡ï¡ïºÜÓаïÖú 2013-11-04 10:28:12
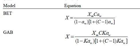
| ÓÉÓÚ·½³ÌÐÎʽµÄ¹ØÏµ£¬BET·½³Ì²»½¨ÒéÖ±½ÓÄâºÏ£¬ÄÇÑùµÄ½á¹ûÍùÍù»áÓÐÎÊÌâ¶øÇÒºÍÕæÊµ½á¹ûÓнϴó³öÈë¡£Ó¦¸Ã¶ÔÎü¸½µÈÎÂÊý¾Ý½øÐд¦Àíʹ֮ÏßÐÔ»¯ºóÓÃ×îС¶þ³Ë·¨ÄâºÏ£¬È»ºóÔÙ¸ù¾ÝÄâºÏ½á¹ûËã³öÏàÓ¦µÄBET·½³Ì²ÎÊý¡£¾ßÌåÔõôÏßÐÔ»¯½²BETµÄÊéÉÏÓ¦¸Ã¶¼ÓУ¬Â¥Ö÷×Ô¼ºÕÒһϾÍÐУ¡ |

2Â¥2013-11-03 22:54:25
¡ï ¡ï ¡ï
dj890520: ½ð±Ò+3 2013-12-16 08:29:26
dj890520: ½ð±Ò+3 2013-12-16 08:29:26
|
±¾ÌûÄÚÈݱ»ÆÁ±Î |
3Â¥2013-11-04 00:31:01
dj890520
½ð³æ (ÕýʽдÊÖ)
- Ó¦Öú: 1 (Ó×¶ùÔ°)
- ½ð±Ò: 957.3
- É¢½ð: 211
- ºì»¨: 3
- Ìû×Ó: 724
- ÔÚÏß: 202.6Сʱ
- ³æºÅ: 1281832
- ×¢²á: 2011-04-30
- ÐÔ±ð: MM
- רҵ: ʳƷ¿ÆÑ§»ù´¡
4Â¥2013-11-04 10:27:32
dj890520
½ð³æ (ÕýʽдÊÖ)
- Ó¦Öú: 1 (Ó×¶ùÔ°)
- ½ð±Ò: 957.3
- É¢½ð: 211
- ºì»¨: 3
- Ìû×Ó: 724
- ÔÚÏß: 202.6Сʱ
- ³æºÅ: 1281832
- ×¢²á: 2011-04-30
- ÐÔ±ð: MM
- רҵ: ʳƷ¿ÆÑ§»ù´¡
5Â¥2013-11-04 10:28:50
jinkan
Ìú¸Ëľ³æ (ÖøÃûдÊÖ)
- ²©Ñ§EPI: 1
- Ó¦Öú: 12 (СѧÉú)
- ½ð±Ò: 8022.2
- ºì»¨: 8
- Ìû×Ó: 1161
- ÔÚÏß: 446.7Сʱ
- ³æºÅ: 1619078
- ×¢²á: 2012-02-15
- ÐÔ±ð: GG
- רҵ: °²È«¿ÆÑ§Ó빤³Ì

6Â¥2013-11-04 14:52:31
dj890520
½ð³æ (ÕýʽдÊÖ)
- Ó¦Öú: 1 (Ó×¶ùÔ°)
- ½ð±Ò: 957.3
- É¢½ð: 211
- ºì»¨: 3
- Ìû×Ó: 724
- ÔÚÏß: 202.6Сʱ
- ³æºÅ: 1281832
- ×¢²á: 2011-04-30
- ÐÔ±ð: MM
- רҵ: ʳƷ¿ÆÑ§»ù´¡
7Â¥2013-11-04 16:00:19













»Ø¸´´ËÂ¥
50