| ²é¿´: 2813 | »Ø¸´: 9 | ||
ÀîÐãÀöxlÌú³æ (СÓÐÃûÆø)
|
[ÇóÖú]
ÇóÖúÒ»µÀÎÞ»ú»¯Ñ§Ìâ ÒÑÓÐ1È˲ÎÓë
|
|
ʵÑéÖ¸³ö£¬ÎÞË®ÈýÂÈ»¯ÂÁÔÚÈÈÁ¦Ñ§±ê׼ѹÁ¦Ï¸÷ζÈʱµÄÃܶÈÈçÏ£º200ÉãÊ϶ÈʱΪ8.6g/L£¬600ÉãÊ϶ÈʱΪ2.65g/L£¬800ÉãÊ϶ÈʱΪ1.51g/L£¬Çó£º A. 200ºÍ800ÉãÊ϶ÈʱÈýÂÈ»¯ÂÁµÄ·Ö×Óʽ B. 600ÉãÊ϶ÈÊÇµÄÆ½ºâÎïÖÖ C. 600ÉãÊ϶Èʱ¸÷ÎïÖֵį½ºâ·Öѹ D. 600ÉãÊ϶ÈʱµÄKc ºÍKp [ Last edited by sddtc888 on 2013-11-2 at 12:15 ] |
» ²ÂÄãϲ»¶
Î人·ÄÖ¯´óѧ-²ÄÁÏ¿ÆÑ§Ó빤³ÌѧԺ-½ªÎ°½ÜÇàÍŶÓ-ÕÐÉúÎï·½Ïòµ÷¼Á
ÒѾÓÐ0È˻ظ´
Î人·ÄÖ¯´óѧ-²ÄÁÏ¿ÆÑ§Ó빤³ÌѧԺ-ÕÐ ÉúÎï·½Ïò ˶ʿ£¡
ÒѾÓÐ0È˻ظ´
Óлú¸ß·Ö×Ó²ÄÁÏÂÛÎÄÈóÉ«/·ÒëÔõôÊÕ·Ñ?
ÒѾÓÐ219È˻ظ´
Î人·ÄÖ¯´óѧ-²ÄÁÏ¿ÆÑ§Ó빤³ÌѧԺ-½ªÎ°½ÜÇàÍŶÓ-ÕÐÉúÎï·½Ïòµ÷¼Á
ÒѾÓÐ0È˻ظ´
[Î人·ÄÖ¯´óѧ]²ÄÁÏѧԺ[½ªÎ°ÍŶÓÃû³Æ]¿ÎÌâ×é-2026Äê˶ʿÑо¿Éúµ÷¼ÁÐÅÏ¢
ÒѾÓÐ0È˻ظ´
Î人·ÄÖ¯´óѧ-²ÄÁÏ¿ÆÑ§Ó빤³ÌѧԺ-½ªÎ°½ÜÇàÍŶÓ-Õе÷¼Á
ÒѾÓÐ0È˻ظ´
ÉúÎïҽѧ²ÄÁÏÇ°ÑØ¿ÆÆÕ£ºµÍÃܶȡ¢¸ß¿×϶Âʵġ°¶à¿×΢Çò¡±ºËÐļ¼ÊõÓëÓ¦ÓÃÈ«¾°
ÒѾÓÐ1È˻ظ´
ºþÄϹ¤Òµ´óѧÖܹóÒú×éÕÐÉúÎïҽѧ¹¤³Ì£¨Ñ§Ë¶07¡¢08¶¼ÐУ©¡¢ÉúÎïÓëÒ½Ò©£¨×¨Ë¶08£©Ë¶Ê¿Éú
ÒѾÓÐ0È˻ظ´
ºþÄϹ¤Òµ´óѧÖܹóÒú×éÕÐÉúÎïҽѧ¹¤³Ì£¨Ñ§Ë¶07¡¢08¶¼ÐУ©ºÍÉúÎïÓëÒ½Ò©£¨×¨Ë¶08£©Ë¶Ê¿Éú
ÒѾÓÐ0È˻ظ´
¿¼ÑÐÇóµ÷¼Á
ÒѾÓÐ0È˻ظ´
2026ÄêÖÐÄÏÃñ×å´óѧ»¯Ñ§Óë²ÄÁÏ¿ÆÑ§Ñ§Ôºµ÷¼Á¹«¸æ
ÒѾÓÐ30È˻ظ´
» ±¾Ö÷ÌâÏà¹ØÉ̼ÒÍÆ¼ö: (ÎÒÒ²ÒªÔÚÕâÀïÍÆ¹ã)
» ±¾Ö÷ÌâÏà¹Ø¼ÛÖµÌùÍÆ¼ö£¬¶ÔÄúͬÑùÓаïÖú:
Çó´óÉñÖ¸½Ì! ÈȵÄҩƷΪʲô²»ÄܽøÐгÆÁ¿
ÒѾÓÐ6È˻ظ´
ÇóÒ»¸öÎﻯÎÊÌâ£¬Ã²ËÆºÜ¼òµ¥£¬µ«Ï벻ͨ£¿
ÒѾÓÐ7È˻ظ´
ѹµçÌÕ´ÉpztµÄÈô¸ÉÎÊÌ⣿Çó·¹ý´óÉñ½â´ð
ÒѾÓÐ4È˻ظ´
Çó´óÉñ£¬¾ÅË®Áò»¯Äƺ͵ªÆø·´Ó¦Ã´£¿
ÒѾÓÐ12È˻ظ´
¸÷λ´óÉñʵÑéÊÒÀïÃæµÄÂÈ»¯ÑÇÌú¾§ÌåÊÇÔõô±£´æµÄ£¿
ÒѾÓÐ4È˻ظ´
¼òµ¥µÄvasp¼¸¸ö½Úµã²¢ÐÐÎÊÌ⣬Çó´óÉñ°ïÖú£¡£¡£¡£¡£¡£¡£¡£¡£¡£¡£¡£¡£¡£¡£¡£¡
ÒѾÓÐ3È˻ظ´
Çó½Ì¸÷λ´óÉñ£¡
ÒѾÓÐ4È˻ظ´
¸ßÃÌËáÂÁµÄºÏ³É
ÒѾÓÐ5È˻ظ´
Õý±û´¼-ÒìÎì´¼µÄÆøÒºÆ½ºâÊý¾ÝÎÊÌ⣬Çó´óÉñ°ïæ
ÒѾÓÐ8È˻ظ´
Çó´óÉñ´ðÒÉ£¬ÅäλÊýΪ12µÄBi3+Àë×Ó°ë¾¶£¿ ²»Ê¤¸Ð¼¤
ÒѾÓÐ11È˻ظ´
ÇóÖúÒ»¸ö¼òµ¥µÄÎÞ»ú»¯Ñ§ÌâÄ¿°¡£¬ÏõËá¸ÆºÍÄòËØ80¶È·´Ó¦Éú³Éʲô
ÒѾÓÐ7È˻ظ´
¼±£¡£¡Ò»µÀ¿¼ÑÐÎïÀí»¯Ñ§Ì⣬ʵÔÚ²»»áÁË£¬Âé·³¸øÎ»´óÉñ°ïæ½â¾öÏ£¡
ÒѾÓÐ9È˻ظ´
Ò»¸ö½ðÊôµÄÎÞ»ú»¯Ñ§ÍƶÏÌâ±È½Ï¸´ÔÓ¡«ÇóÖú´óÉñ
ÒѾÓÐ8È˻ظ´
ÇëÎʸ÷λ´óÉñÒÔÏÂÎïÖʿɷñÅä³ÉÎÞɫ͸Ã÷ÈÜÒº
ÒѾÓÐ5È˻ظ´
¹ØÓÚÆøÒºÆ½ºâµÄ¼òµ¥ÎÊÌâ
ÒѾÓÐ24È˻ظ´
ÇëÎÊÄÄλ´óÉñÖªµÀÓÐʲôÓлúÈܼÁ¿ÉÒÔÈܽâCr2O3£¿
ÒѾÓÐ4È˻ظ´
ÇóÖú£¡ÈçºÎÈܽâîÑËáǦ£¡Íû´óÉñÖ¸½Ì£¡
ÒѾÓÐ5È˻ظ´
¼±Çó½â´ð~~~Ò»µÀÎïÀí»¯Ñ§¼ò´ðÌâ Íû´óÉñÃÇÖ¸µã
ÒѾÓÐ12È˻ظ´
Çë½Ì¸÷λ´óÉñ·ÐʯºÏ³ÉÖеÄÎÞ»úÊÔ¼ÁSiO2ÓõÄÊÇʲô
ÒѾÓÐ13È˻ظ´
Sargent´óÉñµÄ½ºÌåÁ¿×ÓµãÌ«ÑôÄÜµç³Ø×ÛÊö
ÒѾÓÐ81È˻ظ´
¡¾ÇóÖú¡¿¶®Õý½»ÊµÑéÉè¼ÆµÄ´óÉñ½ø
ÒѾÓÐ12È˻ظ´
caominone
ľ³æÖ®Íõ (ÖªÃû×÷¼Ò)
Ĥ·ÖÀëר¼Ò
- Ó¦Öú: 1185 (²©ºó)
- ¹ó±ö: 2.526
- ½ð±Ò: 52540.4
- É¢½ð: 12357
- ºì»¨: 213
- ɳ·¢: 81
- Ìû×Ó: 6781
- ÔÚÏß: 1439.6Сʱ
- ³æºÅ: 1147879
- ×¢²á: 2010-11-16
- ÐÔ±ð: GG
- רҵ: ÓлúºÏ³É
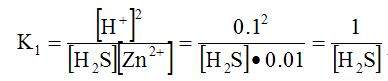
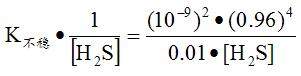
¡¾´ð°¸¡¿Ó¦Öú»ØÌû
¡ï ¡ï ¡ï ¡ï ¡ï ¡ï
¸Ðл²ÎÓ룬ӦÖúÖ¸Êý +1
sddtc888: ±à¼ÄÚÈÝ 2013-11-02 12:15
sddtc888: ½ð±Ò+1, ¸ÐлӦÖú£¬»¶Ó³£À´£¡ 2013-11-02 12:16:04
ÀîÐãÀöxl: ½ð±Ò+5, ¡ïÓаïÖú 2013-11-04 10:12:12
¸Ðл²ÎÓ룬ӦÖúÖ¸Êý +1
sddtc888: ±à¼ÄÚÈÝ 2013-11-02 12:15
sddtc888: ½ð±Ò+1, ¸ÐлӦÖú£¬»¶Ó³£À´£¡ 2013-11-02 12:16:04
ÀîÐãÀöxl: ½ð±Ò+5, ¡ïÓаïÖú 2013-11-04 10:12:12
|
·Ö×Óʽ¾ÍÊÇÈÃÄãÇó´ËʱζÈϵķÖ×ÓÁ¿£¬¸ù¾ÝPV=nRT¹«Ê½±äÐÎPM=¦ÑRT£¬BÊǵõ½Æ½¾ùµÄÒ»¸ö·Ö×ÓÁ¿£¬Çó»ìºÏÎïµÄ×é·Ö£¬Õâ¸öÌâÄ¿ÄãÏȰÑÈýÖÖζȵķÖ×ÓÁ¿Çó³öÀ´£¬¿Ï¶¨µÃµ½ÈýÖÖÎïÖÊ£¬È»ºó¸ù¾ÝÉÏÊö¹«Ê½Çó½â¾Í¿ÉÒÔ¡£ [ Last edited by sddtc888 on 2013-11-2 at 12:15 ] |

2Â¥2013-11-02 11:52:18
ÀîÐãÀöxl
Ìú³æ (СÓÐÃûÆø)
- Ó¦Öú: 0 (Ó×¶ùÔ°)
- ½ð±Ò: 190.8
- É¢½ð: 85
- Ìû×Ó: 58
- ÔÚÏß: 42.4Сʱ
- ³æºÅ: 2060576
- ×¢²á: 2012-10-14
- ÐÔ±ð: MM
- רҵ: ÌìÈ»Óлú»¯Ñ§
3Â¥2013-11-02 16:44:48
ÀîÐãÀöxl
Ìú³æ (СÓÐÃûÆø)
- Ó¦Öú: 0 (Ó×¶ùÔ°)
- ½ð±Ò: 190.8
- É¢½ð: 85
- Ìû×Ó: 58
- ÔÚÏß: 42.4Сʱ
- ³æºÅ: 2060576
- ×¢²á: 2012-10-14
- ÐÔ±ð: MM
- רҵ: ÌìÈ»Óлú»¯Ñ§
4Â¥2013-11-02 16:47:13
ÀîÐãÀöxl
Ìú³æ (СÓÐÃûÆø)
- Ó¦Öú: 0 (Ó×¶ùÔ°)
- ½ð±Ò: 190.8
- É¢½ð: 85
- Ìû×Ó: 58
- ÔÚÏß: 42.4Сʱ
- ³æºÅ: 2060576
- ×¢²á: 2012-10-14
- ÐÔ±ð: MM
- רҵ: ÌìÈ»Óлú»¯Ñ§
5Â¥2013-11-02 16:53:43
caominone
ľ³æÖ®Íõ (ÖªÃû×÷¼Ò)
Ĥ·ÖÀëר¼Ò
- Ó¦Öú: 1185 (²©ºó)
- ¹ó±ö: 2.526
- ½ð±Ò: 52540.4
- É¢½ð: 12357
- ºì»¨: 213
- ɳ·¢: 81
- Ìû×Ó: 6781
- ÔÚÏß: 1439.6Сʱ
- ³æºÅ: 1147879
- ×¢²á: 2010-11-16
- ÐÔ±ð: GG
- רҵ: ÓлúºÏ³É

6Â¥2013-11-02 17:40:45
zhaozq520
Òø³æ (ÕýʽдÊÖ)
- Ó¦Öú: 21 (СѧÉú)
- ½ð±Ò: 408.8
- ºì»¨: 2
- Ìû×Ó: 407
- ÔÚÏß: 77.1Сʱ
- ³æºÅ: 2031675
- ×¢²á: 2012-09-26
- ÐÔ±ð: GG
- רҵ: Óлú·Ö×Ó¹¦ÄܲÄÁÏ»¯Ñ§

7Â¥2013-11-03 13:22:54
sddtc888
ÖÁ×ðľ³æ (ÖøÃûдÊÖ)
H¦×=E¦× S=kln¦¸ dS¡Ý¦ÄQ/T
- ICEPI: 4
- Ó¦Öú: 181 (¸ßÖÐÉú)
- ¹ó±ö: 2.508
- ½ð±Ò: 10753.4
- É¢½ð: 1948
- ºì»¨: 29
- ɳ·¢: 1
- Ìû×Ó: 1609
- ÔÚÏß: 1165.1Сʱ
- ³æºÅ: 1410152
- ×¢²á: 2011-09-20
- ÐÔ±ð: GG
- רҵ: Äý¾Û̬ÎïÐÔ II £ºµç×ӽṹ
¡¾´ð°¸¡¿Ó¦Öú»ØÌû
¡ï ¡ï ¡ï ¡ï ¡ï ¡ï ¡ï ¡ï ¡ï ¡ï ¡ï ¡ï ¡ï ¡ï ¡ï
¸Ðл²ÎÓ룬ӦÖúÖ¸Êý +1
ÀîÐãÀöxl: ½ð±Ò+15, ¡ï¡ï¡ï¡ï¡ï×î¼Ñ´ð°¸, ºÜÏêϸ£¬Ì«Ð»Ð»ÁË 2013-11-04 10:15:09
¸Ðл²ÎÓ룬ӦÖúÖ¸Êý +1
ÀîÐãÀöxl: ½ð±Ò+15, ¡ï¡ï¡ï¡ï¡ï×î¼Ñ´ð°¸, ºÜÏêϸ£¬Ì«Ð»Ð»ÁË 2013-11-04 10:15:09

8Â¥2013-11-03 18:55:52
sddtc888
ÖÁ×ðľ³æ (ÖøÃûдÊÖ)
H¦×=E¦× S=kln¦¸ dS¡Ý¦ÄQ/T
- ICEPI: 4
- Ó¦Öú: 181 (¸ßÖÐÉú)
- ¹ó±ö: 2.508
- ½ð±Ò: 10753.4
- É¢½ð: 1948
- ºì»¨: 29
- ɳ·¢: 1
- Ìû×Ó: 1609
- ÔÚÏß: 1165.1Сʱ
- ³æºÅ: 1410152
- ×¢²á: 2011-09-20
- ÐÔ±ð: GG
- רҵ: Äý¾Û̬ÎïÐÔ II £ºµç×ӽṹ

9Â¥2013-11-04 16:23:37

10Â¥2015-10-14 21:04:28














»Ø¸´´ËÂ¥