| 查看: 3196 | 回复: 9 | ||
[求助]
有限体积法如此处理存在的问题 已有2人参与
|
|
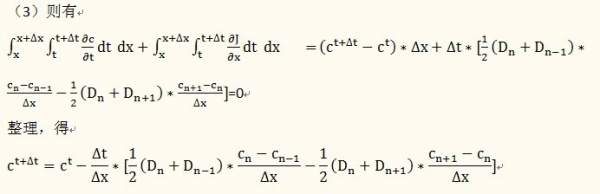
题目:有限体积法编写∂c/∂t+∂J/∂x=0, (最终目的是想获得某一时刻某一位置c的表达式) 由于不方便编写数学公式,上传的是图片,请顺序查看图片1、2、3 整体程序见word 1.jpg 2.jpg 3.jpg |
» 本帖附件资源列表
-
欢迎监督和反馈:小木虫仅提供交流平台,不对该内容负责。
本内容由用户自主发布,如果其内容涉及到知识产权问题,其责任在于用户本人,如对版权有异议,请联系邮箱:xiaomuchong@tal.com - 附件 1 : 有限体积法.doc
2013-10-23 16:36:41, 386 K
» 猜你喜欢
081700,311,求调剂
已经有15人回复
一志愿北京化工085600 310分求调剂
已经有18人回复
085600材料与化工301分求调剂院校
已经有4人回复
材料与化工371求调剂
已经有14人回复
336材料与化工085600求调剂
已经有7人回复
材料334求调剂
已经有18人回复
331求调剂
已经有8人回复
332求调剂
已经有17人回复
一志愿南京航空航天大学 材料与化工329分求调剂
已经有4人回复
材料专硕322
已经有7人回复
» 本主题相关价值贴推荐,对您同样有帮助:
原吸法测定铅离子的预处理问题 滤纸会吸附铅
已经有14人回复
【转载】CFD软件的精度与可信度【已搜索无重复】
已经有44人回复
真空过滤法制备氧化石墨烯薄膜问题求助,欢迎交流,有金币哦~~
已经有14人回复
CDE共性问题解答解答20120725
已经有26人回复
有关有限体积法指数格式的问题?
已经有4人回复
HS-GC-MS测定氨基甲酸乙酯(内标法)遇到了很大问题,两个月仍未解决
已经有9人回复
高COD氨基酸废水处理问题
已经有11人回复
重铬酸钾法测COD遇到的问题!!求解!!
已经有34人回复
固体混合方法生产配方奶粉如何解决速溶性问题
已经有9人回复
反相微乳液法包硅时出现的问题···求解答!!!
已经有13人回复
关于生物信息学方面,请教一个解决问题的方法
已经有4人回复
化学方法制备出来的纳米粉末,如何解决干燥之后的结块问题
已经有4人回复
【讨论】现在的食品安全问题 越来越突出了 各位认为有什么好的解决方法
已经有9人回复
中国科研存在的问题(原创)
已经有22人回复
宇宙的存在方式和世界的因果关系
已经有6人回复
【资源】液相色谱常见问题及处理方法
已经有43人回复
浸渍法制备催化剂的原理与特点(补充zyhou的加压浸渍法)
已经有298人回复

chenxifanfan
铁杆木虫 (正式写手)
- 应助: 15 (小学生)
- 金币: 8537.1
- 红花: 11
- 帖子: 503
- 在线: 417.7小时
- 虫号: 1617919
- 注册: 2012-02-15
- 性别: GG
- 专业: 安全科学与工程

2楼2013-10-24 07:49:08

3楼2013-10-24 11:03:09
4楼2013-10-24 18:49:37
5楼2013-10-24 18:51:20

6楼2013-10-29 15:57:10
7楼2013-10-30 19:01:23

8楼2013-11-01 11:09:56
向海洋进军
木虫 (正式写手)
- 应助: 20 (小学生)
- 金币: 4257.3
- 散金: 238
- 红花: 2
- 帖子: 307
- 在线: 409.5小时
- 虫号: 2896781
- 注册: 2013-12-26
- 专业: 流体力学
9楼2014-04-21 21:24:15

10楼2023-05-13 16:44:35














回复此楼