| 查看: 1889 | 回复: 7 | ||
阿德金虫 (正式写手)
|
[求助]
请教数学高手几个数学符号的意义
|
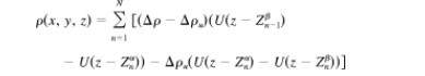
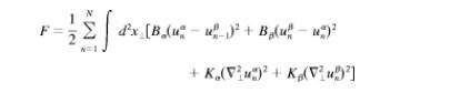
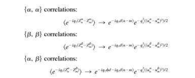
具体见图片里,能否说下每一个符号的意义啊![]() 这里的U函数是越阶函数,具体是不是非0就是1呀 这里的倒三角形和垂直符号 这里的大括号和书名号是什么意义呀 这个图片里的符号是一个表达差异的量,具体是什么意思呀,上标怎么那么多数字?我只听说过kai的平方 |
» 猜你喜欢
一志愿郑州大学085600求调剂
已经有3人回复
求调剂 一志愿西南交通大学085701环境工程 282分
已经有7人回复
求调剂
已经有15人回复
材料专硕283求调剂
已经有15人回复
(调剂)一志愿报考哈尔滨工业大学0857资源与环境专业378分考生
已经有3人回复
本科211,293分请求调剂
已经有9人回复
315求调剂
已经有4人回复
308求调剂
已经有4人回复
301求调剂
已经有4人回复
304求调剂
已经有5人回复
» 本主题相关价值贴推荐,对您同样有帮助:
请教数学大神帮助,求数学推导及矩阵不等式方面的高手救急
已经有8人回复
什么意思,请指教
已经有15人回复
关于一个数学符号
已经有6人回复
求助化学符号发音
已经有10人回复
求助基因突变符号解释说明
已经有3人回复
请教各位数学高手:关于非凸优化最优值的问题
已经有6人回复
关于数学符号的问题?请教大虾
已经有16人回复
自基规定把数学公式转成图片格式了吗?某一学部还是所有学部,在指南上没查到啊?
已经有7人回复
【求助】有学刘保碇的不确定规划方向的高手嘛!!有个问题想请教一下。。!
已经有3人回复
【求助】关于非对称不可约矩阵分解
已经有5人回复
【求助】请教解析几何高手:100金币求坐标任意转动变换的解析公式
已经有15人回复
【求助】SAS编程出了错,看不懂,请教高手
已经有8人回复
【求助】 求MAtlab求解程序!!!
已经有20人回复
【求助】请教高手:关于三个符号
已经有14人回复
【原创】科学计算与绘图--python解决方案
已经有27人回复
yongcailiu
金虫 (小有名气)
- 应助: 63 (初中生)
- 金币: 2283.9
- 红花: 10
- 帖子: 181
- 在线: 250.4小时
- 虫号: 1406563
- 注册: 2011-09-18
- 性别: GG
- 专业: 计算数学与科学工程计算
2楼2013-10-19 13:34:39
阿德
金虫 (正式写手)
- 应助: 10 (幼儿园)
- 金币: 1181.3
- 散金: 29
- 红花: 5
- 帖子: 907
- 在线: 265.2小时
- 虫号: 258024
- 注册: 2006-06-10
- 性别: GG
- 专业: 生物化工与食品化工
3楼2013-10-19 21:18:51
yongcailiu
金虫 (小有名气)
- 应助: 63 (初中生)
- 金币: 2283.9
- 红花: 10
- 帖子: 181
- 在线: 250.4小时
- 虫号: 1406563
- 注册: 2011-09-18
- 性别: GG
- 专业: 计算数学与科学工程计算
4楼2013-10-19 22:12:08
5楼2013-10-20 05:59:22
阿德
金虫 (正式写手)
- 应助: 10 (幼儿园)
- 金币: 1181.3
- 散金: 29
- 红花: 5
- 帖子: 907
- 在线: 265.2小时
- 虫号: 258024
- 注册: 2006-06-10
- 性别: GG
- 专业: 生物化工与食品化工
6楼2013-10-20 15:03:55
阿德
金虫 (正式写手)
- 应助: 10 (幼儿园)
- 金币: 1181.3
- 散金: 29
- 红花: 5
- 帖子: 907
- 在线: 265.2小时
- 虫号: 258024
- 注册: 2006-06-10
- 性别: GG
- 专业: 生物化工与食品化工
7楼2013-10-20 15:04:02
8楼2013-10-22 02:10:55















回复此楼
阿德