版块导航
正在加载中...
客户端APP下载
论文辅导
申博辅导
登录
注册
帖子
帖子
用户
本版
应《网络安全法》要求,自2017年10月1日起,未进行实名认证将不得使用互联网跟帖服务。为保障您的帐号能够正常使用,请尽快对帐号进行手机号验证,感谢您的理解与支持!
24小时热门版块排行榜
>
论坛更新日志
(618)
>
虫友互识
(57)
>
休闲灌水
(32)
>
导师招生
(22)
>
论文投稿
(19)
>
硕博家园
(18)
>
考博
(17)
>
公派出国
(17)
>
基金申请
(14)
>
博后之家
(13)
>
教师之家
(13)
>
考研
(11)
>
论文道贺祈福
(6)
>
招聘信息布告栏
(4)
>
留学生活
(4)
>
功能材料
(2)
小木虫论坛-学术科研互动平台
»
专业学科区
»
数学
»
工科数学
»
求解超越方程
9
1/1
返回列表
查看: 1226 | 回复: 8
只看楼主
@他人
存档
新回复提醒
(忽略)
收藏
在APP中查看
幸福来未
金虫
(小有名气)
应助: 1
(幼儿园)
金币: 1479
红花: 1
帖子: 67
在线: 18.4小时
虫号: 1556796
注册: 2011-12-30
性别:
MM
专业: 数学物理
[
求助
]
求解超越方程
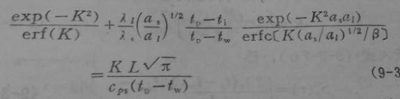
哪位大神会求解这个超越方程啊,或是提供方法?
除了K 其他均是已知数
超越方程.jpg
回复此楼
» 猜你喜欢
请问有评职称,把科研教学业绩算分排序的高校吗
已经有6人回复
2025冷门绝学什么时候出结果
已经有6人回复
Bioresource Technology期刊,第一次返修的时候被退回好几次了
已经有7人回复
真诚求助:手里的省社科项目结项要求主持人一篇中文核心,有什么渠道能发核心吗
已经有8人回复
寻求一种能扛住强氧化性腐蚀性的容器密封件
已经有5人回复
请问哪里可以有青B申请的本子可以借鉴一下。
已经有4人回复
请问下大家为什么这个铃木偶联几乎不反应呢
已经有5人回复
天津工业大学郑柳春团队欢迎化学化工、高分子化学或有机合成方向的博士生和硕士生加入
已经有4人回复
康复大学泰山学者周祺惠团队招收博士研究生
已经有6人回复
AI论文写作工具:是科研加速器还是学术作弊器?
已经有3人回复
» 本主题相关价值贴推荐,对您同样有帮助:
【教程】Origin 8.6科技作图视频教程----非常实用
已经有37人回复
求助matlab求解三元超越方程
已经有4人回复
solve解超越方程少了一个解
已经有3人回复
用fortran程序遗传算法解非线性方程组
已经有7人回复
这个方程组怎么解啊
已经有14人回复
解带参数方程,参数在变
已经有6人回复
如何求解下列方程:xlnx=a(x-b)
已经有14人回复
各位朋友,如何用matlab编写这个方程,并求解?
已经有15人回复
[原创]在Origin8.6 中用作图法求解超越方程
已经有45人回复
MATLAB解方程出现??? Subscripted assignment dimension mismatch.
已经有3人回复
matlab求解超越方程
已经有3人回复
【资源】用matlab求解超越方程
已经有13人回复
【求助】复超越方程的解法
已经有19人回复
1楼
2013-10-14 11:19:58
已阅
回复此楼
关注TA
给TA发消息
送TA红花
TA的回帖
dingd
铁杆木虫
(职业作家)
应助: 1641
(讲师)
金币: 15037.3
散金: 101
红花: 234
帖子: 3410
在线: 1223.5小时
虫号: 291104
注册: 2006-10-28
【答案】应助回帖
感谢参与,应助指数 +1
数值解Matlab的fsolve不行吗?先自己试试;另外也可以用1stOpt,更简单方便。
赞
一下
回复此楼
2楼
2013-10-14 11:46:34
已阅
回复此楼
关注TA
给TA发消息
送TA红花
TA的回帖
幸福来未
金虫
(小有名气)
应助: 1
(幼儿园)
金币: 1479
红花: 1
帖子: 67
在线: 18.4小时
虫号: 1556796
注册: 2011-12-30
性别:
MM
专业: 数学物理
引用回帖:
2楼
:
Originally posted by
dingd
at 2013-10-14 11:46:34
数值解Matlab的fsolve不行吗?先自己试试;另外也可以用1stOpt,更简单方便。
能不能给个详细的步骤呢
赞
一下
回复此楼
3楼
2013-10-15 10:45:32
已阅
回复此楼
关注TA
给TA发消息
送TA红花
TA的回帖
feixiaolin
荣誉版主
(文坛精英)
专家经验: +518
应助: 942
(博后)
贵宾: 1.275
金币: 2930
散金: 58785
红花: 532
沙发: 11
帖子: 24215
在线: 2601.8小时
虫号: 2139575
注册: 2012-11-21
专业: 光学信息获取与处理
管辖:
数学
【答案】应助回帖
感谢参与,应助指数 +1
引用回帖:
3楼
:
Originally posted by
幸福来未
at 2013-10-15 10:45:32
能不能给个详细的步骤呢...
1stOpt当中有exp(),sqrt(),erf(),erfc() 函数,伪代码如下:
Variable K;
Parameters 其他;
MinFunction (左式-右式);
赞
一下
回复此楼
4楼
2013-10-15 13:10:58
已阅
回复此楼
关注TA
给TA发消息
送TA红花
TA的回帖
幸福来未
金虫
(小有名气)
应助: 1
(幼儿园)
金币: 1479
红花: 1
帖子: 67
在线: 18.4小时
虫号: 1556796
注册: 2011-12-30
性别:
MM
专业: 数学物理
引用回帖:
4楼
:
Originally posted by
feixiaolin
at 2013-10-15 13:10:58
1stOpt当中有exp(),sqrt(),erf(),erfc() 函数,伪代码如下:
Variable K;
Parameters 其他;
MinFunction (左式-右式);...
没弄出来
回复此楼
5楼
2013-10-17 14:55:32
已阅
回复此楼
关注TA
给TA发消息
送TA红花
TA的回帖
feixiaolin
荣誉版主
(文坛精英)
专家经验: +518
应助: 942
(博后)
贵宾: 1.275
金币: 2930
散金: 58785
红花: 532
沙发: 11
帖子: 24215
在线: 2601.8小时
虫号: 2139575
注册: 2012-11-21
专业: 光学信息获取与处理
管辖:
数学
引用回帖:
5楼
:
Originally posted by
幸福来未
at 2013-10-17 14:55:32
没弄出来...
发你的代码上来看看。
赞
一下
回复此楼
6楼
2013-10-17 16:12:57
已阅
回复此楼
关注TA
给TA发消息
送TA红花
TA的回帖
379631818
铁杆木虫
(著名写手)
应助: 12
(小学生)
金币: 9526.9
散金: 80
红花: 7
帖子: 1548
在线: 568.8小时
虫号: 555522
注册: 2008-05-09
专业: 凝聚态物性 II :电子结构
【答案】应助回帖
findroot,关键是选择好初值
赞
一下
回复此楼
7楼
2013-10-17 16:22:12
已阅
回复此楼
关注TA
给TA发消息
送TA红花
TA的回帖
niubenhit
金虫
(正式写手)
应助: 69
(初中生)
金币: 970.7
散金: 1813
红花: 9
帖子: 517
在线: 193.3小时
虫号: 2413993
注册: 2013-04-12
专业: 力学中的基本问题和方法
【答案】应助回帖
最简单有效的办法,把关于K的曲线画出来,然后找到大致区间,再然后用迭代法,比如findroot。
赞
一下
回复此楼
有眼大如天,山高月更阔
8楼
2013-10-26 22:41:06
已阅
回复此楼
关注TA
给TA发消息
送TA红花
TA的回帖
dingd
铁杆木虫
(职业作家)
应助: 1641
(讲师)
金币: 15037.3
散金: 101
红花: 234
帖子: 3410
在线: 1223.5小时
虫号: 291104
注册: 2006-10-28
【答案】应助回帖
给出具体代码和已知常数。
赞
一下
回复此楼
9楼
2013-10-27 10:29:13
已阅
回复此楼
关注TA
给TA发消息
送TA红花
TA的回帖
相关版块跳转
数理科学综合
机械
物理
数学
农林
食品
地学
能源
信息科学
土木建筑
航空航天
转基因
我要订阅楼主
幸福来未
的主题更新
9
1/1
返回列表
如果回帖内容含有宣传信息,请如实选中。否则帐号将被全论坛禁言
普通表情
龙
兔
虎
猫
百度网盘
|
360云盘
|
千易网盘
|
华为网盘
在新窗口页面中打开自己喜欢的网盘网站,将文件上传后,然后将下载链接复制到帖子内容中就可以了。
信息提示
关闭
请填处理意见
关闭
确定