版块导航
正在加载中...
客户端APP下载
论文辅导
申博辅导
登录
注册
帖子
帖子
用户
本版
应《网络安全法》要求,自2017年10月1日起,未进行实名认证将不得使用互联网跟帖服务。为保障您的帐号能够正常使用,请尽快对帐号进行手机号验证,感谢您的理解与支持!
24小时热门版块排行榜
>
论坛更新日志
(3331)
>
虫友互识
(225)
>
导师招生
(208)
>
文献求助
(119)
>
考研
(101)
>
公派出国
(74)
>
招聘信息布告栏
(55)
>
硕博家园
(52)
>
考博
(45)
>
博后之家
(42)
>
论文投稿
(42)
>
休闲灌水
(30)
>
基金申请
(21)
>
教师之家
(20)
>
无机非金属
(16)
>
找工作
(16)
小木虫论坛-学术科研互动平台
»
专业学科区
»
数学
»
基础数学
»
直角坐标转化为柱坐标
南方科技大学公共卫生及应急管理学院2026级博士研究生招生报考通知(长期有效)
7
1/1
返回列表
查看: 3401 | 回复: 6
只看楼主
@他人
存档
新回复提醒
(忽略)
收藏
在APP中查看
yuezhuwen
铜虫
(小有名气)
应助: 2
(幼儿园)
金币: 3455.6
散金: 85
红花: 2
帖子: 275
在线: 219小时
虫号: 1303441
注册: 2011-05-23
性别: GG
专业: 结构工程
[
求助
]
直角坐标转化为柱坐标
详见下图:
11.jpg
回复此楼
» 猜你喜欢
请问有评职称,把科研教学业绩算分排序的高校吗
已经有3人回复
孩子确诊有中度注意力缺陷
已经有12人回复
2025冷门绝学什么时候出结果
已经有3人回复
天津工业大学郑柳春团队欢迎化学化工、高分子化学或有机合成方向的博士生和硕士生加入
已经有4人回复
康复大学泰山学者周祺惠团队招收博士研究生
已经有6人回复
AI论文写作工具:是科研加速器还是学术作弊器?
已经有3人回复
2026博士申请-功能高分子,水凝胶方向
已经有6人回复
论文投稿,期刊推荐
已经有4人回复
硕士和导师闹得不愉快
已经有13人回复
请问2026国家基金面上项目会启动申2停1吗
已经有5人回复
» 本主题相关价值贴推荐,对您同样有帮助:
圆柱轴对称坐标系是怎么表达的,和直角坐标系怎么样转化
已经有3人回复
向大神求助:ansys节点周向位移的施加
已经有14人回复
绕任意直线旋转的空间坐标变换如何求
已经有7人回复
边界条件UDF求助
已经有4人回复
VC++6.0的MFC 怎么在空间直角坐标系中画图
已经有5人回复
ansys后处理中结果坐标系的转换问题,求教各位
已经有14人回复
matlab中如何将双坐标系图中的另外一个坐标系设置为当前坐标系呢?
已经有10人回复
柱坐标N-S方程推导?
已经有4人回复
origin 中坐标可以旋转吗?
已经有4人回复
EXCELL转换经纬度求助
已经有7人回复
【求助】晶胞内坐标怎么向直角坐标转换?
已经有4人回复
【求助】坐标从6°带转为3°带的坐标
已经有7人回复
【求助】地统计学中经纬度转换直角坐标
已经有10人回复
【求助】求将vasp的输出文件转化成xyz坐标的脚本
已经有11人回复
【求助】如何查看晶体内坐标u?
已经有4人回复
【求助】晶格内原子坐标的转化
已经有3人回复
【求助】请教解析几何高手:100金币求坐标任意转动变换的解析公式
已经有15人回复
【原创】在direct和cartisian坐标之间转换的小程序
已经有6人回复
【转帖】GPS的坐标系统及坐标系转换-转贴
已经有6人回复
桩基工程及其耐久性
1楼
2013-10-08 16:10:57
已阅
回复此楼
关注TA
给TA发消息
送TA红花
TA的回帖
feixiaolin
荣誉版主
(文坛精英)
专家经验: +518
应助: 942
(博后)
贵宾: 1.275
金币: 2930
散金: 58785
红花: 532
沙发: 11
帖子: 24215
在线: 2601.8小时
虫号: 2139575
注册: 2012-11-21
专业: 光学信息获取与处理
管辖:
数学
【答案】应助回帖
★ ★ ★ ★ ★
感谢参与,应助指数 +1
yuezhuwen: 金币+5, 没有找到相关书籍 可否写一下贴一下 可再追加赏金~~呵呵
2013-10-08 19:59:12
Ref:
谢树义“矢量分析与场论”一书, P104-P111.
赞
一下
回复此楼
2楼
2013-10-08 19:27:03
已阅
回复此楼
关注TA
给TA发消息
送TA红花
TA的回帖
feixiaolin
荣誉版主
(文坛精英)
专家经验: +518
应助: 942
(博后)
贵宾: 1.275
金币: 2930
散金: 58785
红花: 532
沙发: 11
帖子: 24215
在线: 2601.8小时
虫号: 2139575
注册: 2012-11-21
专业: 光学信息获取与处理
管辖:
数学
【答案】应助回帖
★ ★ ★ ★ ★
yuezhuwen: 金币+5,
★
有帮助, 结果我知道 我想知道的是详细的推导过程
2013-10-10 13:27:18
看图
mmm.jpg
赞
一下
(1人)
回复此楼
3楼
2013-10-10 12:57:33
已阅
回复此楼
关注TA
给TA发消息
送TA红花
TA的回帖
考拉003
新虫
(小有名气)
应助: 24
(小学生)
金币: 4.2
散金: 68
红花: 3
帖子: 218
在线: 29.9小时
虫号: 2286610
注册: 2013-02-18
性别: GG
专业: 微生物遗传育种学
这个在高数里面有,这些东西一毕业就忘了啊~~~
赞
一下
回复此楼
不是微生物专业的却进入微生物行业
4楼
2013-10-10 13:15:24
已阅
回复此楼
关注TA
给TA发消息
送TA红花
TA的回帖
feixiaolin
荣誉版主
(文坛精英)
专家经验: +518
应助: 942
(博后)
贵宾: 1.275
金币: 2930
散金: 58785
红花: 532
沙发: 11
帖子: 24215
在线: 2601.8小时
虫号: 2139575
注册: 2012-11-21
专业: 光学信息获取与处理
管辖:
数学
引用回帖:
3楼
:
Originally posted by
feixiaolin
at 2013-10-10 12:57:33
看图
mmm.jpg
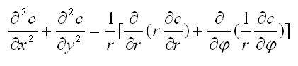
x=r*cos(phi), y=r*sin(phi);
du/dr=du/dx*dx/dr + du/dy*dy/dr
du/dphi=du/dx*dx/dphi + du/dy*dy/dphi
上式再求2次导数,即得。
赞
一下
回复此楼
5楼
2013-10-10 13:33:24
已阅
回复此楼
关注TA
给TA发消息
送TA红花
TA的回帖
liluanfei
新虫
(初入文坛)
应助: 0
(幼儿园)
金币: 6
帖子: 17
在线: 7.8小时
虫号: 5092039
注册: 2016-10-07
性别: GG
专业: 水文地质学(含地热地质学)
楼主知道怎么转化吗?
赞
一下
回复此楼
6楼
2016-12-25 14:07:50
已阅
回复此楼
关注TA
给TA发消息
送TA红花
TA的回帖
liluanfei
新虫
(初入文坛)
应助: 0
(幼儿园)
金币: 6
帖子: 17
在线: 7.8小时
虫号: 5092039
注册: 2016-10-07
性别: GG
专业: 水文地质学(含地热地质学)
http://pan.baidu.com/share/link? ... p;amp;uk=1396150764
赞
一下
回复此楼
7楼
2016-12-25 14:55:05
已阅
回复此楼
关注TA
给TA发消息
送TA红花
TA的回帖
相关版块跳转
数理科学综合
机械
物理
数学
农林
食品
地学
能源
信息科学
土木建筑
航空航天
转基因
我要订阅楼主
yuezhuwen
的主题更新
7
1/1
返回列表
如果回帖内容含有宣传信息,请如实选中。否则帐号将被全论坛禁言
普通表情
龙
兔
虎
猫
百度网盘
|
360云盘
|
千易网盘
|
华为网盘
在新窗口页面中打开自己喜欢的网盘网站,将文件上传后,然后将下载链接复制到帖子内容中就可以了。
信息提示
关闭
请填处理意见
关闭
确定