| ²é¿´: 1188 | »Ø¸´: 5 | ||||
| ±¾Ìû²úÉú 1 ¸ö ÎïÀíEPI £¬µã»÷ÕâÀï½øÐв鿴 | ||||
chengduyqгæ (СÓÐÃûÆø)
|
[½»Á÷]
¾µäµã¶¯Á¦Ñ§ÖÐÒ»¸ö»ý·ÖµÄ¼ÆË㣬´¿Êýѧ£¬ÃÕÒ»°ãµÄ´æÔÚ°¡£¬Çó¸ßÈ˰ïæ~ ÒÑÓÐ2È˲ÎÓë
|
|||
» ±¾Ö÷ÌâÏà¹Ø¼ÛÖµÌùÍÆ¼ö£¬¶ÔÄúͬÑùÓаïÖú:
[×ªÔØ]Ò»¸öÀÏÌù:Ò»¸ö¾ÖÍâÈË¿´±±´óÊýѧ¿¼ÑгõÊÔ¼°Êýѧ·ÖÎöѧϰ·½·¨--SCIbird
ÒѾÓÐ11È˻ظ´
Ñо¿Éú´Ó»ù´¡»ýÀÛ¿ªÊ¼----À´Ô´£ºÈËÃñÍø 2013Äê09ÔÂ03ÈÕ Íõ³¬Éî
ÒѾÓÐ9È˻ظ´
ÖпÆÔºÏµÍ³¡¶ÎïÀí»¯Ñ§¡·£¨¼×£©¿¼Ñи´Ï°¾Ñ顪¡ª×ª×Ôij´óʦ¼¶ºÃÓѵÄÈËÈËÍø
ÒѾÓÐ67È˻ظ´
¡¾ÌÖÂÛ¡¿·Ç³£¾µäµÄ¹ÜÀíÕÜѧ
ÒѾÓÐ8È˻ظ´
¹ØÓÚ¼áÒ㣬¹ØÓÚÒâÖ¾Á¦µÄ¾µäÐÂÓ±Ö®·ÖÎö£¡
ÒѾÓÐ2È˻ظ´
ÓîÖæµÄ´æÔÚ·½Ê½ºÍÊÀ½çµÄÒò¹û¹ØÏµ(µÚ¶þ²¿)
ÒѾÓÐ1È˻ظ´
racoon01
ר¼Ò¹ËÎÊ (ÖøÃûдÊÖ)
-

ר¼Ò¾Ñé: +213 - ÎïÀíEPI: 25
- Ó¦Öú: 212 (´óѧÉú)
- ½ð±Ò: 24355.2
- É¢½ð: 27
- ºì»¨: 71
- Ìû×Ó: 2438
- ÔÚÏß: 643.2Сʱ
- ³æºÅ: 1282452
- ×¢²á: 2011-05-01
- רҵ: Öйú½ü´úÊ·¡¢ÏÖ´úÊ·
- ¹ÜϽ: ÎïÀí
¡ï ¡ï ¡ï ¡ï ¡ï ¡ï
Сľ³æ: ½ð±Ò+0.5, ¸ø¸öºì°ü£¬Ð»Ð»»ØÌû
ϦÑôÎ÷ÏÂ: ÇëÎÊ2¡¢3¡¢4Ðеıí´ïʽÊÇÈçºÎÍÆµ¼µÄ£¿ 2013-10-08 17:44:06
»ªÀöµÄÆ®¹ý: ½ð±Ò+5, ÎïÀíEPI+1, Ó¦ÖúÖ¸Êý+1, ר¼Ò¿¼ºË, ¸ÐлÈÏÕæ½â´ð 2013-10-16 02:14:09
Сľ³æ: ½ð±Ò+0.5, ¸ø¸öºì°ü£¬Ð»Ð»»ØÌû
ϦÑôÎ÷ÏÂ: ÇëÎÊ2¡¢3¡¢4Ðеıí´ïʽÊÇÈçºÎÍÆµ¼µÄ£¿ 2013-10-08 17:44:06
»ªÀöµÄÆ®¹ý: ½ð±Ò+5, ÎïÀíEPI+1, Ó¦ÖúÖ¸Êý+1, ר¼Ò¿¼ºË, ¸ÐлÈÏÕæ½â´ð 2013-10-16 02:14:09
|
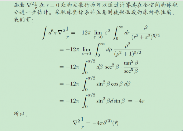
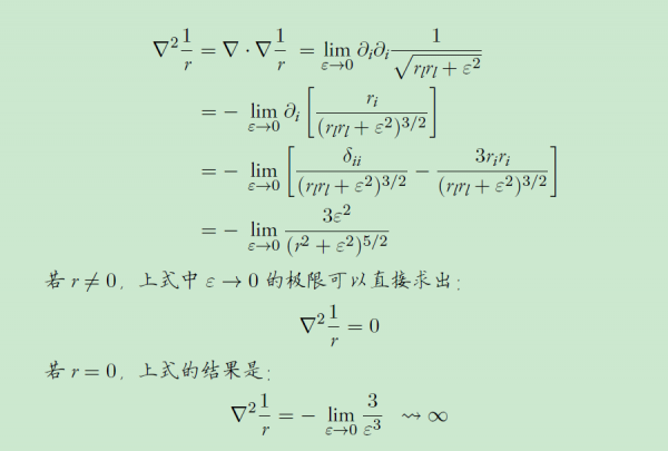
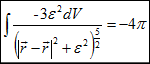
ÄãÁгöµÄ¹«Ê½ÊÇÉ¢¶È¼ÆËãµÄ»ù±¾¹«Ê½Ö®Ò»£¬ÍƵ¼·½·¨Ò²ÊDZê×¼µÄ¡£Ï¸½Ú¼û¸½Í¼¡£ divergence_1.png divergence_2.png |

5Â¥2013-10-08 10:14:12
chengduyq
гæ (СÓÐÃûÆø)
- Ó¦Öú: 0 (Ó×¶ùÔ°)
- ½ð±Ò: 11.8
- ºì»¨: 2
- Ìû×Ó: 105
- ÔÚÏß: 21.5Сʱ
- ³æºÅ: 2665209
- ×¢²á: 2013-09-19
- רҵ: ÄÔµçͼ¡¢ÄÔ´ÅͼÓëÄÔ»ú½»»¥
2Â¥2013-10-05 17:23:41
bfamq
Ìú¸Ëľ³æ (ÖøÃûдÊÖ)
- Ó¦Öú: 184 (¸ßÖÐÉú)
- ½ð±Ò: 6790.9
- É¢½ð: 2115
- ºì»¨: 90
- Ìû×Ó: 2320
- ÔÚÏß: 1029.1Сʱ
- ³æºÅ: 1621962
- ×¢²á: 2012-02-16
- רҵ: Äý¾Û̬ÎïÐÔ II £ºµç×ӽṹ
¡ï
Сľ³æ: ½ð±Ò+0.5, ¸ø¸öºì°ü£¬Ð»Ð»»ØÌû
Сľ³æ: ½ð±Ò+0.5, ¸ø¸öºì°ü£¬Ð»Ð»»ØÌû
| ÔÚÇò×ø±êϵÏ£¬dv=r^2sin¦Èdrd¦Èd¦Õ=r^2drd¦¸¡£¿ÉÁîr-r¡®=r0£¬×ö´ú»»r0=¦Å¦Ñ£¬´øÈë»ý·Ö¡£d¦¸µÄ»ý·ÖÖ®ºóΪ4pi¡£×îºóËãd¦ÑµÄ»ý·Ö¡£ |

3Â¥2013-10-06 08:14:50
chengduyq
гæ (СÓÐÃûÆø)
- Ó¦Öú: 0 (Ó×¶ùÔ°)
- ½ð±Ò: 11.8
- ºì»¨: 2
- Ìû×Ó: 105
- ÔÚÏß: 21.5Сʱ
- ³æºÅ: 2665209
- ×¢²á: 2013-09-19
- רҵ: ÄÔµçͼ¡¢ÄÔ´ÅͼÓëÄÔ»ú½»»¥
4Â¥2013-10-06 15:33:10
racoon01
ר¼Ò¹ËÎÊ (ÖøÃûдÊÖ)
-

ר¼Ò¾Ñé: +213 - ÎïÀíEPI: 25
- Ó¦Öú: 212 (´óѧÉú)
- ½ð±Ò: 24355.2
- É¢½ð: 27
- ºì»¨: 71
- Ìû×Ó: 2438
- ÔÚÏß: 643.2Сʱ
- ³æºÅ: 1282452
- ×¢²á: 2011-05-01
- רҵ: Öйú½ü´úÊ·¡¢ÏÖ´úÊ·
- ¹ÜϽ: ÎïÀí

6Â¥2013-10-08 18:19:46













»Ø¸´´ËÂ¥