| ²é¿´: 2417 | »Ø¸´: 11 | ||
644674033ͳæ (³õÈëÎÄ̳)
|
[ÇóÖú]
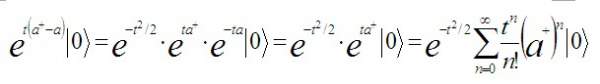
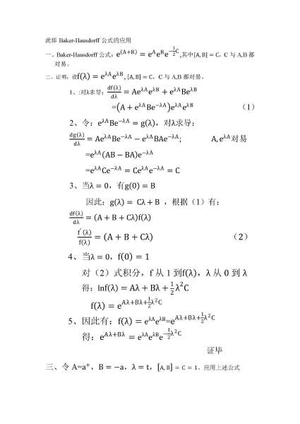
¹ØÓڸߵÈÁ¿×ÓÁ¦Ñ§ÖвúÉúºÍäÎÃðËã·ûµÄ¼ÆËãÎÊÌâ
|
|
ÎïÀíÊýѧ´óÔÓ»â |
» ²ÂÄãϲ»¶
ÇëÎÊÓÐÆÀÖ°³Æ£¬°Ñ¿ÆÑнÌѧҵ¼¨Ëã·ÖÅÅÐòµÄ¸ßУÂð
ÒѾÓÐ6È˻ظ´
2025ÀäÞøÑ§Ê²Ã´Ê±ºò³ö½á¹û
ÒѾÓÐ6È˻ظ´
Bioresource TechnologyÆÚ¿¯£¬µÚÒ»´Î·µÐÞµÄʱºò±»Í˻غü¸´ÎÁË
ÒѾÓÐ7È˻ظ´
Õæ³ÏÇóÖú£ºÊÖÀïµÄÊ¡Éç¿ÆÏîÄ¿½áÏîÒªÇóÖ÷³ÖÈËһƪÖÐÎĺËÐÄ£¬ÓÐʲôÇþµÀÄÜ·¢ºËÐÄÂð
ÒѾÓÐ8È˻ظ´
ѰÇóÒ»ÖÖÄÜ¿¸×¡Ç¿Ñõ»¯ÐÔ¸¯Ê´ÐÔµÄÈÝÆ÷ÃÜ·â¼þ
ÒѾÓÐ5È˻ظ´
ÇëÎÊÄÄÀï¿ÉÒÔÓÐÇàBÉêÇëµÄ±¾×Ó¿ÉÒÔ½è¼øÒ»Ï¡£
ÒѾÓÐ4È˻ظ´
ÇëÎÊÏ´ó¼ÒΪʲôÕâ¸öÁåľżÁª¼¸ºõ²»·´Ó¦ÄØ
ÒѾÓÐ5È˻ظ´
Ìì½ò¹¤Òµ´óѧ֣Áø´ºÍŶӻ¶Ó»¯Ñ§»¯¹¤¡¢¸ß·Ö×Ó»¯Ñ§»òÓлúºÏ³É·½ÏòµÄ²©Ê¿ÉúºÍ˶ʿÉú¼ÓÈë
ÒѾÓÐ4È˻ظ´
¿µ¸´´óѧ̩ɽѧÕßÖÜì÷»ÝÍŶÓÕÐÊÕ²©Ê¿Ñо¿Éú
ÒѾÓÐ6È˻ظ´
AIÂÛÎÄд×÷¹¤¾ß£ºÊÇ¿ÆÑмÓËÙÆ÷»¹ÊÇѧÊõ×÷±×Æ÷£¿
ÒѾÓÐ3È˻ظ´
» ±¾Ö÷ÌâÏà¹Ø¼ÛÖµÌùÍÆ¼ö£¬¶ÔÄúͬÑùÓаïÖú:
˶ÔÁ¿×ÓÁ¦Ñ§µÄ¹±Ï××î´ó£¿
ÒѾÓÐ81È˻ظ´
¸ßµÈÁ¿×ÓÁ¦Ñ§(µÚÈý°æ)[ÑîÔóÉ]
ÒѾÓÐ89È˻ظ´
µç×Óµ½µ×ÊÇÁ£×Ó»¹ÊDz¨£¿
ÒѾÓÐ87È˻ظ´
¡¾ÇóÖú¡¿Îʼ¸¸ö¹ØÓÚÁ¿×ÓÁ¦Ñ§µÄ»ù±¾ÎÊÌâ
ÒѾÓÐ11È˻ظ´
bfamq
Ìú¸Ëľ³æ (ÖøÃûдÊÖ)
- Ó¦Öú: 184 (¸ßÖÐÉú)
- ½ð±Ò: 6790.9
- É¢½ð: 2115
- ºì»¨: 90
- Ìû×Ó: 2320
- ÔÚÏß: 1029.1Сʱ
- ³æºÅ: 1621962
- ×¢²á: 2012-02-16
- רҵ: Äý¾Û̬ÎïÐÔ II £ºµç×ӽṹ
¡¾´ð°¸¡¿Ó¦Öú»ØÌû
¡ï ¡ï ¡ï ¡ï ¡ï ¡ï ¡ï ¡ï ¡ï ¡ï ¡ï ¡ï ¡ï ¡ï ¡ï ¡ï ¡ï ¡ï ¡ï ¡ï
¸Ðл²ÎÓ룬ӦÖúÖ¸Êý +1
644674033: ½ð±Ò+20, ¡ï¡ï¡ïºÜÓаïÖú 2013-09-20 10:16:49
¸Ðл²ÎÓ룬ӦÖúÖ¸Êý +1
644674033: ½ð±Ò+20, ¡ï¡ï¡ïºÜÓаïÖú 2013-09-20 10:16:49

2Â¥2013-09-18 16:50:07
644674033
ͳæ (³õÈëÎÄ̳)
- Ó¦Öú: 0 (Ó×¶ùÔ°)
- ½ð±Ò: 455.3
- É¢½ð: 100
- ºì»¨: 2
- Ìû×Ó: 33
- ÔÚÏß: 16.1Сʱ
- ³æºÅ: 2488462
- ×¢²á: 2013-05-30
- ÐÔ±ð: MM
- רҵ: »ù´¡ÎïÀíѧ
8Â¥2013-09-19 17:36:15
fyl7
Ìú¸Ëľ³æ (ÕýʽдÊÖ)
- Ó¦Öú: 40 (СѧÉú)
- ½ð±Ò: 15058.2
- ºì»¨: 10
- Ìû×Ó: 882
- ÔÚÏß: 76.2Сʱ
- ³æºÅ: 448055
- ×¢²á: 2007-11-01
- ÐÔ±ð: GG
- רҵ: ÀíÂÛÎïÀí
3Â¥2013-09-19 10:38:00
huow005
ÖÁ×ðľ³æ (СÓÐÃûÆø)
- Ó¦Öú: 23 (СѧÉú)
- ½ð±Ò: 16595
- ºì»¨: 4
- Ìû×Ó: 112
- ÔÚÏß: 345.3Сʱ
- ³æºÅ: 84749
- ×¢²á: 2005-08-05

4Â¥2013-09-19 13:56:32
ÎÂÈá´óÃ×Á£
ľ³æ (СÓÐÃûÆø)
- Ó¦Öú: 2 (Ó×¶ùÔ°)
- ½ð±Ò: 1682.9
- Ìû×Ó: 70
- ÔÚÏß: 28.2Сʱ
- ³æºÅ: 2639574
- ×¢²á: 2013-09-06
- ÐÔ±ð: MM
- רҵ: ¹âѧ
5Â¥2013-09-19 16:10:49
644674033
ͳæ (³õÈëÎÄ̳)
- Ó¦Öú: 0 (Ó×¶ùÔ°)
- ½ð±Ò: 455.3
- É¢½ð: 100
- ºì»¨: 2
- Ìû×Ó: 33
- ÔÚÏß: 16.1Сʱ
- ³æºÅ: 2488462
- ×¢²á: 2013-05-30
- ÐÔ±ð: MM
- רҵ: »ù´¡ÎïÀíѧ
6Â¥2013-09-19 17:35:26
644674033
ͳæ (³õÈëÎÄ̳)
- Ó¦Öú: 0 (Ó×¶ùÔ°)
- ½ð±Ò: 455.3
- É¢½ð: 100
- ºì»¨: 2
- Ìû×Ó: 33
- ÔÚÏß: 16.1Сʱ
- ³æºÅ: 2488462
- ×¢²á: 2013-05-30
- ÐÔ±ð: MM
- רҵ: »ù´¡ÎïÀíѧ
7Â¥2013-09-19 17:35:47
644674033
ͳæ (³õÈëÎÄ̳)
- Ó¦Öú: 0 (Ó×¶ùÔ°)
- ½ð±Ò: 455.3
- É¢½ð: 100
- ºì»¨: 2
- Ìû×Ó: 33
- ÔÚÏß: 16.1Сʱ
- ³æºÅ: 2488462
- ×¢²á: 2013-05-30
- ÐÔ±ð: MM
- רҵ: »ù´¡ÎïÀíѧ
9Â¥2013-09-19 17:36:45
bfamq
Ìú¸Ëľ³æ (ÖøÃûдÊÖ)
- Ó¦Öú: 184 (¸ßÖÐÉú)
- ½ð±Ò: 6790.9
- É¢½ð: 2115
- ºì»¨: 90
- Ìû×Ó: 2320
- ÔÚÏß: 1029.1Сʱ
- ³æºÅ: 1621962
- ×¢²á: 2012-02-16
- רҵ: Äý¾Û̬ÎïÐÔ II £ºµç×ӽṹ

10Â¥2013-09-19 18:06:36













»Ø¸´´ËÂ¥