| 查看: 549 | 回复: 2 | |
oldskin铁杆木虫 (职业作家)
|
[求助]
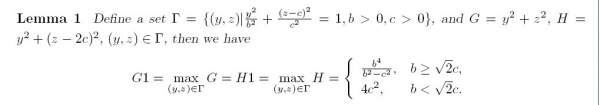
带条件的极值问题!求助 很简单的问题!
|
![]() |
|
|
|
|
山海一色木虫 (著名写手)
|
|
|
2楼2013-09-16 01:25:36
|
|
hank612至尊木虫 (著名写手)
|
|
![]() |
|
|
3楼2013-09-16 08:03:43
|
|













回复此楼