| 查看: 2745 | 回复: 8 | ||
[求助]
关于恒电位阶跃实验
|
|
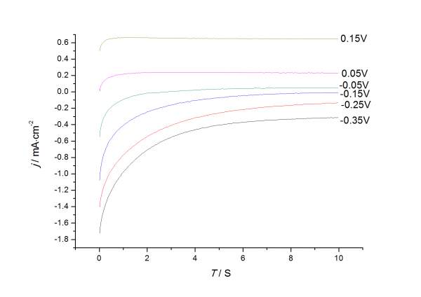
小女子第一次做恒电位阶跃实验,很多地方都不太懂,望高手赐教。 用的是三电极体系,饱和甘汞做参比,大面积铂电极做辅助电极,工作电极是自制石墨电极,先扫循环伏安,再暂态阶跃从-0.35v扫到0.15v。盈思的电化工作站,采点频率20/s。不知道为什么没有峰电流Imax出现。求指点原因 循环伏安曲线.jpg 循环伏安曲线.jpg 电位阶跃曲线.jpg |
» 猜你喜欢
德国Karlsruhe Institute of Technology招收电化学储能及联合培养CSC博士等
已经有20人回复
德国Karlsruhe Institute of Technology招收电化学储能及联合培养CSC博士
已经有24人回复
分析化学论文润色/翻译怎么收费?
已经有64人回复
德国Karlsruhe Institute of Technology招收电化学储能及联合培养CSC博士
已经有1人回复
固态锂金属电池迁移数计算求助
已经有1人回复
荷兰奈梅亨大学赵文博与Galimberti课题组招收理论计算CSC博士 2000 欧元/月+房补
已经有0人回复
26储能博士申请自荐
已经有22人回复
上海交通大学--宁波东方理工大学电池方向博士招生
已经有10人回复
海南大学全国重点实验室杨金霖老师招收储能电池方向博士生(2026年3月报名,9月入学)
已经有1人回复
海南师范大学2026年博士研究生招收 (在职想提升学历人员可报考) 申请考核制+普通招考
已经有0人回复
申博求助
已经有0人回复
» 本主题相关商家推荐: (我也要在这里推广)
» 本主题相关价值贴推荐,对您同样有帮助:
求推荐一个电化学工作站
已经有21人回复
请在计时电流图中插入做计时电流实验过程中电位阶跃的过程和电位
已经有19人回复
沉积电位变成负值说明什么?
已经有8人回复
恒电位腐蚀实验的重现性
已经有6人回复
求助 CA 测试
已经有5人回复
求助:怎么测量微分电容曲线
已经有8人回复
恒电位沉积法
已经有10人回复
恒电位反应结束后消耗的总电量如何测算
已经有6人回复
【求助】恒电位电解电流很小怎么办啊
已经有14人回复
【求助】如何在电化学工作站上实现恒电位仪的功能?急呀...
已经有24人回复
【求助】有知道电化学工作站的偏压怎么给么
已经有7人回复
【求助】使用电化学工作站多电位阶跃方法的相关问题
已经有7人回复
【求助】计时电流法如何定量分析
已经有13人回复
【讨论】控制电位法与计时电流法的异同
已经有13人回复
【求助】计时电流法和电流时间法有什么区别?
已经有28人回复

Jackcd12
至尊木虫 (知名作家)
- ECEPI: 13
- 应助: 2150 (讲师)
- 金币: 13687.4
- 红花: 366
- 帖子: 7594
- 在线: 2164.4小时
- 虫号: 1865159
- 注册: 2012-06-20
- 性别: GG
- 专业: 电化学

2楼2013-09-05 19:28:12

3楼2013-09-05 20:19:08
Jackcd12
至尊木虫 (知名作家)
- ECEPI: 13
- 应助: 2150 (讲师)
- 金币: 13687.4
- 红花: 366
- 帖子: 7594
- 在线: 2164.4小时
- 虫号: 1865159
- 注册: 2012-06-20
- 性别: GG
- 专业: 电化学

4楼2013-09-05 22:04:21

5楼2013-09-06 10:56:37
xiaobo286
木虫 (著名写手)
- ECEPI: 7
- 应助: 19 (小学生)
- 金币: 4614.9
- 散金: 2305
- 红花: 7
- 沙发: 1
- 帖子: 1793
- 在线: 902小时
- 虫号: 808323
- 注册: 2009-07-13
- 性别: GG
- 专业: 金属材料表面科学与工程
6楼2013-09-06 12:32:49
Jackcd12
至尊木虫 (知名作家)
- ECEPI: 13
- 应助: 2150 (讲师)
- 金币: 13687.4
- 红花: 366
- 帖子: 7594
- 在线: 2164.4小时
- 虫号: 1865159
- 注册: 2012-06-20
- 性别: GG
- 专业: 电化学

7楼2013-09-06 13:06:35
simultaneous
铁杆木虫 (著名写手)
- 应助: 64 (初中生)
- 金币: 7997.7
- 散金: 184
- 红花: 18
- 帖子: 1826
- 在线: 917.1小时
- 虫号: 1210568
- 注册: 2011-02-23
- 性别: GG
- 专业: 胶体与界面化学

8楼2013-09-24 18:47:20
Jackcd12
至尊木虫 (知名作家)
- ECEPI: 13
- 应助: 2150 (讲师)
- 金币: 13687.4
- 红花: 366
- 帖子: 7594
- 在线: 2164.4小时
- 虫号: 1865159
- 注册: 2012-06-20
- 性别: GG
- 专业: 电化学

9楼2013-09-24 19:51:29













回复此楼