版块导航
正在加载中...
客户端APP下载
论文辅导
调剂小程序
登录
注册
帖子
帖子
用户
本版
应《网络安全法》要求,自2017年10月1日起,未进行实名认证将不得使用互联网跟帖服务。为保障您的帐号能够正常使用,请尽快对帐号进行手机号验证,感谢您的理解与支持!
24小时热门版块排行榜
>
论坛更新日志
(3415)
>
虫友互识
(289)
>
文献求助
(282)
>
导师招生
(150)
>
休闲灌水
(117)
>
基金申请
(99)
>
硕博家园
(89)
>
考博
(83)
>
博后之家
(42)
>
考研
(33)
>
招聘信息布告栏
(32)
>
论文道贺祈福
(25)
>
论文投稿
(23)
>
海外博后
(21)
>
教师之家
(19)
>
绿色求助(高悬赏)
(15)
小木虫论坛-学术科研互动平台
»
专业学科区
»
物理
»
核物理
»
关于mathematica作图的问题
7
1/1
返回列表
查看: 1423 | 回复: 6
只看楼主
@他人
存档
新回复提醒
(忽略)
收藏
在APP中查看
644674033
铜虫
(初入文坛)
应助: 0
(幼儿园)
金币: 455.3
散金: 100
红花: 2
帖子: 33
在线: 16.1小时
虫号: 2488462
注册: 2013-05-30
性别:
MM
专业: 基础物理学
[
求助
]
关于mathematica作图的问题
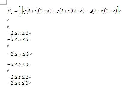
如图所示,能量与变量x,a,y,b,z,c之间有如下的关系式,想用mathematica软件作出他们之间的关系图。我之前只做过两个变量的三维图像,现在变量变成了六个,做出来的图像是几维的?用mathematica软件可以做出来吗?谢谢各位~
2R`(YF[4E0_H`201]O}@G5D.jpg
回复此楼
» 猜你喜欢
AI 太可怕了,写基金时,提出想法,直接生成的文字比自己想得深远,还有科学性
已经有7人回复
有时候真觉得大城市人没有县城人甚至个体户幸福
已经有12人回复
依托企业入选了国家启明计划青年人才。有无高校可以引进的。
已经有11人回复
依托企业入选了国家启明计划青年人才。有无高校可以引进的。
已经有10人回复
同年申请2项不同项目,第1个项目里不写第2个项目的信息,可以吗
已经有9人回复
表哥与省会女结婚,父母去帮带孩子被省会女气回家生重病了
已经有7人回复
天津大学招2026.09的博士生,欢迎大家推荐交流(博导是本人)
已经有9人回复
有院领导为了换新车,用横向课题经费买了俩车
已经有10人回复
» 本主题相关价值贴推荐,对您同样有帮助:
powerpoint画图问题
已经有9人回复
画图:渐变色的图是用什么软件画的?求帮忙!(有图)
已经有3人回复
利用origin画图时时数据x轴坐标不同怎么办
已经有8人回复
求助 matlab隐函数画图问题
已经有4人回复
origin绘图后,℃以及希腊字母等如何转换成eps图片
已经有5人回复
GAMBIT 二维画图中的一个问题
已经有5人回复
请教:如何将Mathematic中两列矩阵数据,导入到Excel中?
已经有5人回复
【求助】mathematica数据绘图,谢谢
已经有8人回复
求救,关于Mathematica作图
已经有7人回复
关于Surfer画图
已经有7人回复
请教个mathematica画图的问题
已经有5人回复
求助origin画图问题
已经有11人回复
Mathematica 积分的疑问?
已经有11人回复
【讨论】关于一个m文件中函数调用及画图问题
已经有7人回复
【讨论】mathematica绘图问题
已经有7人回复
Origin数据处理和作图问题
已经有6人回复
【求助】关于Mathematica绘图问题【已完结】
已经有3人回复
【求助】Mathematica画图问题
已经有7人回复
【讨论】Mathematica分段函数绘图问题
已经有8人回复
【求助】先解常微分方程 然后画图【已完结】
已经有11人回复
【求助】再次关于Mathematica画图颜色问题(急用)
已经有3人回复
【求助】关于Mathematica画图颜色问题(急用)
已经有7人回复
【分享】将Mathematica绘图数据转换至Origin软件
已经有134人回复
1楼
2013-09-01 17:00:22
已阅
回复此楼
关注TA
给TA发消息
送TA红花
TA的回帖
liutaifeng
新虫
(小有名气)
应助: 26
(小学生)
金币: 3279.9
散金: 53
红花: 3
帖子: 279
在线: 381.3小时
虫号: 1172588
注册: 2010-12-18
专业: 凝聚态物性 II :电子结构
【答案】应助回帖
★ ★ ★ ★ ★
感谢参与,应助指数 +1
644674033: 金币+5
2013-09-03 11:28:37
可能abc是参数,x y z 是变量,不可能有六维的图,你在好好理解一下各个量的意义
赞
一下
(1人)
回复此楼
2楼
2013-09-01 19:03:27
已阅
回复此楼
关注TA
给TA发消息
送TA红花
TA的回帖
644674033
铜虫
(初入文坛)
应助: 0
(幼儿园)
金币: 455.3
散金: 100
红花: 2
帖子: 33
在线: 16.1小时
虫号: 2488462
注册: 2013-05-30
性别:
MM
专业: 基础物理学
引用回帖:
2楼
:
Originally posted by
liutaifeng
at 2013-09-01 19:03:27
可能abc是参数,x y z 是变量,不可能有六维的图,你在好好理解一下各个量的意义
谢谢哈。这里面的六个量都是参量,是我为了简单才用这几个字母表示的,图像是没有六维的,做出来之后应该也是三维的图,有没有可能两两做完图形之后整合到一起呢?
赞
一下
回复此楼
3楼
2013-09-02 07:50:09
已阅
回复此楼
关注TA
给TA发消息
送TA红花
TA的回帖
华丽的飘过
版主
(著名写手)
物理EPI: 2
应助: 41
(小学生)
贵宾: 0.116
金币: 7633.4
散金: 8
红花: 48
沙发: 1
帖子: 1264
在线: 892.6小时
虫号: 1404465
注册: 2011-09-16
性别: GG
专业: 高等教育学
管辖:
物理
【答案】应助回帖
★ ★ ★ ★ ★ ★ ★ ★ ★ ★ ★ ★ ★ ★ ★ ★ ★ ★ ★ ★ ★ ★ ★ ★ ★ ★ ★ ★ ★ ★ ★ ★ ★ ★ ★ ★ ★ ★ ★ ★ ★ ★ ★ ★ ★
感谢参与,应助指数 +1
644674033: 金币+45,
★★★★★
最佳答案
2013-09-03 11:28:27
一切都是有办法的。不过需要版本高点的Mathematica,我用的是Mathematica9哦
emuch.gif
[
Last edited by 华丽的飘过 on 2013-9-3 at 00:17
]
赞
一下
回复此楼
» 本帖附件资源列表
欢迎监督和反馈:小木虫仅提供交流平台,不对该内容负责。
本内容由用户自主发布,如果其内容涉及到知识产权问题,其责任在于用户本人,如对版权有异议,请联系邮箱:xiaomuchong@tal.com
附件 1 :
emuch.gif
2013-09-03 00:16:04, 31.03 K
附件 2 :
emuch.nb
2013-09-03 00:16:28, 6.25 K
» 本帖已获得的红花(最新10朵)
644674033
4楼
2013-09-03 00:11:05
已阅
回复此楼
关注TA
给TA发消息
送TA红花
TA的回帖
644674033
铜虫
(初入文坛)
应助: 0
(幼儿园)
金币: 455.3
散金: 100
红花: 2
帖子: 33
在线: 16.1小时
虫号: 2488462
注册: 2013-05-30
性别:
MM
专业: 基础物理学
送红花一朵
引用回帖:
4楼
:
Originally posted by
华丽的飘过
at 2013-09-03 00:11:05
一切都是有办法的。不过需要版本高点的Mathematica,我用的是Mathematica9哦
emuch.gifemuch.nb
emuch.gif
...
真是太谢谢你了,我还有个问题需要请教一下?式子里有六个变量,做出来的图像是三维的,那这三个轴分别代表了哪个变量呢?是不是一个轴代表x,y,z变量,一个轴代表a,b,c变量,数轴代表我要求得E呢?还有图中上面这些表示什么?麻烦了哦~
4~V~4VP{B24R12J6{@W53I2.jpg
赞
一下
回复此楼
5楼
2013-09-03 09:42:36
已阅
回复此楼
关注TA
给TA发消息
送TA红花
TA的回帖
644674033
铜虫
(初入文坛)
应助: 0
(幼儿园)
金币: 455.3
散金: 100
红花: 2
帖子: 33
在线: 16.1小时
虫号: 2488462
注册: 2013-05-30
性别:
MM
专业: 基础物理学
引用回帖:
4楼
:
Originally posted by
华丽的飘过
at 2013-09-03 00:11:05
一切都是有办法的。不过需要版本高点的Mathematica,我用的是Mathematica9哦
emuch.gifemuch.nb
emuch.gif
...
我下了软件自己操作了一下,已经明白了,谢谢你了哈~
赞
一下
回复此楼
» 本帖已获得的红花(最新10朵)
华丽的飘过
6楼
2013-09-03 11:26:36
已阅
回复此楼
关注TA
给TA发消息
送TA红花
TA的回帖
华丽的飘过
版主
(著名写手)
物理EPI: 2
应助: 41
(小学生)
贵宾: 0.116
金币: 7633.4
散金: 8
红花: 48
沙发: 1
帖子: 1264
在线: 892.6小时
虫号: 1404465
注册: 2011-09-16
性别: GG
专业: 高等教育学
管辖:
物理
送红花一朵
引用回帖:
6楼
:
Originally posted by
644674033
at 2013-09-03 11:26:36
我下了软件自己操作了一下,已经明白了,谢谢你了哈~...
谢谢您的金币,只是恰好前几天用到了这个命令,所以正好能用到您这个问题上。希望能对您有帮助
赞
一下
回复此楼
7楼
2013-09-03 11:58:19
已阅
回复此楼
关注TA
给TA发消息
送TA红花
TA的回帖
相关版块跳转
数理科学综合
机械
物理
数学
农林
食品
地学
能源
信息科学
土木建筑
航空航天
转基因
我要订阅楼主
644674033
的主题更新
7
1/1
返回列表
如果回帖内容含有宣传信息,请如实选中。否则帐号将被全论坛禁言
普通表情
龙
兔
虎
猫
百度网盘
|
360云盘
|
千易网盘
|
华为网盘
在新窗口页面中打开自己喜欢的网盘网站,将文件上传后,然后将下载链接复制到帖子内容中就可以了。
信息提示
关闭
请填处理意见
关闭
确定