| ²é¿´: 477 | »Ø¸´: 2 | |||
wxjquesľ³æ (ÖøÃûдÊÖ)
|
[ÇóÖú]
¸´±äº¯ÊýÌ⣬Çó½â´ð
|
|
Ïê¼û¸½¼þ¡£ ¹²10µÀÌ⣬ÒòΪ¼±Óã¬ËùÒÔÇëÊýѧ¸ßÊÖ°ïæ½â´ðһϡ£ Èç¹û´ðµÃºÃ£¬»¹Óиü¶à½ð±Ò£¬¸Ð¼¤²»¾¡¡£ ×îºÃ½ñÌì»òÃ÷ÌìÄܻظ´¡£ Èç¹û¹«Ê½²»ºÃ´ò£¬Ò²¿ÉÒÔÓÃÊÖд£¬ÅÄÏÂÕÕÀ´ÉÏ´«¼´¿É¡£ Ò²¿É·¢ÎÒÓÊÏä [ Last edited by sweety on 2013-8-24 at 13:46 ] |
» ±¾Ìû¸½¼þ×ÊÔ´Áбí
-
»¶Ó¼à¶½ºÍ·´À¡£ºÐ¡Ä¾³æ½öÌṩ½»Á÷ƽ̨£¬²»¶Ô¸ÃÄÚÈݸºÔð¡£
±¾ÄÚÈÝÓÉÓû§×ÔÖ÷·¢²¼£¬Èç¹ûÆäÄÚÈÝÉæ¼°µ½ÖªÊ¶²úȨÎÊÌ⣬ÆäÔðÈÎÔÚÓÚÓû§±¾ÈË£¬Èç¶Ô°æÈ¨ÓÐÒìÒ飬ÇëÁªÏµÓÊÏ䣺xiaomuchong@tal.com - ¸½¼þ 1 : ¸´±äº¯ÊýÌâ.doc
2013-08-22 18:46:54, 33.5 K
» ²ÂÄãϲ»¶
11408Èí¼þ¹¤³ÌÇóµ÷¼Á
ÒѾÓÐ3È˻ظ´
Ò»Ö¾Ô¸211 ³õÊÔ270·Ö Çóµ÷¼Á
ÒѾÓÐ8È˻ظ´
300Çóµ÷¼Á£¬²ÄÁÏ¿ÆÑ§Ó¢Ò»Êý¶þ
ÒѾÓÐ6È˻ظ´
ѧ˶274Çóµ÷¼Á
ÒѾÓÐ9È˻ظ´
±¾¿ÆË«·Ç²ÄÁÏ£¬¿ç¿¼Ò»Ö¾Ô¸»ªµç085801µçÆø£¬283Çóµ÷¼Á£¬ÈκÎרҵ¶¼¿ÉÒÔ
ÒѾÓÐ7È˻ظ´
¸÷λÀÏʦºÃ£¬ÎÒµÄһ־ԸΪ±±¾©¿Æ¼¼´óѧ085601²ÄÁÏר˶
ÒѾÓÐ3È˻ظ´
317·Ö Ò»Ö¾Ô¸ÄÏÀí¹¤²ÄÁϹ¤³Ì ±¾¿Æºþ¹¤´ó Çóµ÷¼Á
ÒѾÓÐ7È˻ظ´
081200-11408-276ѧ˶Çóµ÷¼Á
ÒѾÓÐ5È˻ظ´
316Çóµ÷¼Á
ÒѾÓÐ7È˻ظ´
322Çóµ÷¼Á
ÒѾÓÐ7È˻ظ´
» ±¾Ö÷ÌâÏà¹Ø¼ÛÖµÌùÍÆ¼ö£¬¶ÔÄúͬÑùÓаïÖú:
Ò»µÀ»á¼ÆÌ⣬Çó½â´ð
ÒѾÓÐ12È˻ظ´
ÈËÎĵØÀíѧÎÊÌâÇó½â´ð
ÒѾÓÐ4È˻ظ´
¼±Çó½â´ð¹ØÓÚÔÚÑùƷǰ´¦ÀíÖÐʹÓÃspeÖù×ÓµÄÎÊÌâ
ÒѾÓÐ5È˻ظ´
CDE¹²ÐÔÎÊÌâ½â´ð½â´ð20120725
ÒѾÓÐ26È˻ظ´
ÕâµÀÌâÕâô×ö¶ÔÂð£¿Î¢»ý·ÖÇó¼«ÏÞ£¬ºÍ²Î¿¼Êé½â´ð²»Í¬£¬µ«´ð°¸Ïàͬ
ÒѾÓÐ19È˻ظ´
¹ØÓÚqPCRµÄ¼¸¸öÎÊÌ⣬Çó½â´ð
ÒѾÓÐ3È˻ظ´
È«¹ú×¢²á½á¹¹¹¤³Ìʦרҵ¿¼ÊÔ2011ÄêÊÔÌâ½â´ð¼°·ÖÎö.Öì±ûÒú
ÒѾÓÐ34È˻ظ´
ÉúÎﻯѧʵÑéÊÔÌâÇóÖú½â´ð
ÒѾÓÐ4È˻ظ´
¸ßÊýÎÊÌâ Çó½â´ð£¡
ÒѾÓÐ4È˻ظ´
word²Î¿¼ÎÄÏ×-βעÒýÓ㬳öÁ˵ãÎÊÌ⣬Çó¸ßÊÖ½â´ð
ÒѾÓÐ3È˻ظ´
Á½µÀÉú»¯ÊÔÌâÇó½â´ð¡£Çó´ð°¸
ÒѾÓÐ3È˻ظ´
¼±Çó½â´ð~~~Ò»µÀÎïÀí»¯Ñ§¼ò´ðÌâ Íû´óÉñÃÇÖ¸µã
ÒѾÓÐ12È˻ظ´
×°Åäͼת¹¤³ÌͼµÄ²¼¾ÖÎÊÌ⣬Çó½â´ð
ÒѾÓÐ5È˻ظ´
¶¨Á¿µÄÈô¸ÉÎÊÌ⣬Çó½â´ð£¡
ÒѾÓÐ9È˻ظ´
¹ØÓÚÖÖÖ²»Æ¹ÏµÄÈô¸ÉÎÊÌ⣬Çó¸÷λ´óÏÀ½â´ð
ÒѾÓÐ6È˻ظ´
¸ßÊýÌ⣬¼±Çó½â´ð£¡£¡
ÒѾÓÐ10È˻ظ´
spss¶àÔªÖð²½ÏßÐԻع鷽³ÌµÄÎÊÌ⣬Çó½â´ð£¡
ÒѾÓÐ4È˻ظ´
¡¾¿ÎºóϰÌâ¡¿¸´±äº¯Êý¼°»ý·Ö±ä»»£¨Î÷°²½»´ó£¬µÚËİ棩
ÒѾÓÐ39È˻ظ´
¡¾¿Îºó´ð°¸¡¿¸´±äº¯ÊýÂÛ£¨µÚÈý°æ £©
ÒѾÓÐ20È˻ظ´
¡¾ÇóÖú/½»Á÷¡¿Ë«Ó«¹âËØÃ¸±¨¸æÏµÍ³³öÏÖ¼¸¸öÎÊÌ⣬Çó½â´ð£¬Ð»Ð»¡£
ÒѾÓÐ4È˻ظ´
¡¾ÇóÖú¡¿¿´Á˽âÎö»¹ÊÇûŪÃ÷°×µÄÒ»µÀÌ⡣ϣÍûÕÒµ½¸ßÊÖ½â´ð
ÒѾÓÐ42È˻ظ´
¡¾ÇóÖú¡¿ÎÊһϹØÓÚ¶þÑõ»¯ÎýµÄÎÊÌ⣬Çó½â´ð
ÒѾÓÐ4È˻ظ´

hank612
ÖÁ×ðľ³æ (ÖøÃûдÊÖ)
- ÊýѧEPI: 14
- Ó¦Öú: 225 (´óѧÉú)
- ½ð±Ò: 14270.6
- É¢½ð: 1055
- ºì»¨: 95
- Ìû×Ó: 1526
- ÔÚÏß: 1375.8Сʱ
- ³æºÅ: 2530333
- ×¢²á: 2013-07-03
- ÐÔ±ð: GG
- רҵ: ÀíÂۺͼÆË㻯ѧ
¡¾´ð°¸¡¿Ó¦Öú»ØÌû
¡ï ¡ï ¡ï ¡ï ¡ï ¡ï ¡ï ¡ï ¡ï ¡ï ¡ï ¡ï ¡ï ¡ï ¡ï ¡ï ¡ï ¡ï ¡ï ¡ï ¡ï ¡ï ¡ï ¡ï ¡ï ¡ï ¡ï ¡ï ¡ï ¡ï ¡ï ¡ï ¡ï ¡ï ¡ï ¡ï ¡ï ¡ï ¡ï ¡ï ¡ï ¡ï ¡ï ¡ï ¡ï ¡ï ¡ï ¡ï ¡ï ¡ï ¡ï ¡ï ...
¸Ðл²ÎÓ룬ӦÖúÖ¸Êý +1
wxjques: ½ð±Ò+500, ¡ï¡ï¡ï¡ï¡ï×î¼Ñ´ð°¸, ·Ç³£¸Ðл 2013-08-24 12:23:06
¸Ðл²ÎÓ룬ӦÖúÖ¸Êý +1
wxjques: ½ð±Ò+500, ¡ï¡ï¡ï¡ï¡ï×î¼Ñ´ð°¸, ·Ç³£¸Ðл 2013-08-24 12:23:06
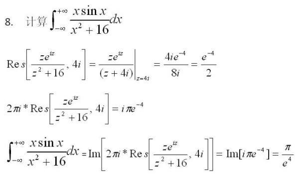
| µÚ°ËÌâ»ý·Ö, ²»»á. |
» ±¾Ìû¸½¼þ×ÊÔ´Áбí
-
»¶Ó¼à¶½ºÍ·´À¡£ºÐ¡Ä¾³æ½öÌṩ½»Á÷ƽ̨£¬²»¶Ô¸ÃÄÚÈݸºÔð¡£
±¾ÄÚÈÝÓÉÓû§×ÔÖ÷·¢²¼£¬Èç¹ûÆäÄÚÈÝÉæ¼°µ½ÖªÊ¶²úȨÎÊÌ⣬ÆäÔðÈÎÔÚÓÚÓû§±¾ÈË£¬Èç¶Ô°æÈ¨ÓÐÒìÒ飬ÇëÁªÏµÓÊÏ䣺xiaomuchong@tal.com - ¸½¼þ 1 : [emuch.net][572827]ComplexAnalysis.doc
2013-08-23 07:38:10, 40 K

2Â¥2013-08-23 07:38:18
feixiaolin
ÈÙÓþ°æÖ÷ (ÎÄ̳¾«Ó¢)
-

ר¼Ò¾Ñé: +518 - Ó¦Öú: 942 (²©ºó)
- ¹ó±ö: 1.275
- ½ð±Ò: 3880
- É¢½ð: 58785
- ºì»¨: 532
- ɳ·¢: 11
- Ìû×Ó: 24215
- ÔÚÏß: 2601.8Сʱ
- ³æºÅ: 2139575
- ×¢²á: 2012-11-21
- רҵ: ¹âѧÐÅÏ¢»ñÈ¡Óë´¦Àí
- ¹ÜϽ: Êýѧ
3Â¥2013-09-18 22:49:04














»Ø¸´´ËÂ¥