| ²é¿´: 1827 | »Ø¸´: 3 | ||
| ¡¾½±Àø¡¿ ±¾Ìû±»ÆÀ¼Û1´Î£¬×÷ÕßeurekayanÔö¼Ó½ð±Ò 0.6 ¸ö | ||
eurekayanÈÙÓþ°æÖ÷ (ÖªÃû×÷¼Ò)
|
[×ÊÔ´]
¡¾¿Î¼þ¡¿¿ÕÆø¶¯Á¦Ñ§£¨Ó¢ÎÄ£©
|
|
|
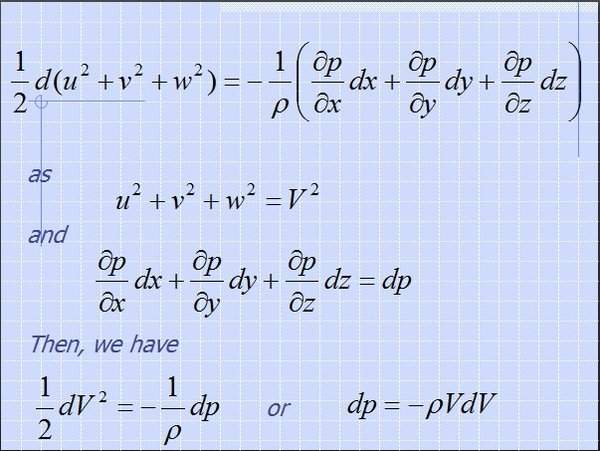
µã»÷ÏÂÔØ ÕâÊÇÒ»Ì×Ó¢ÎÄµÄ¿ÕÆø¶¯Á¦Ñ§½Ìѧ¿Î¼þ£¬´Ó¿ÕÆø¶¯Á¦Ñ§µÄÀúÊ·½ÌÆð£¬Ö±µ½»úÒíµÄÉè¼Æ£¬ÄÚÈݼò½àÃ÷ÁË£¬ÊDz»´íµÄ×Ôѧ»òÕß¿ÎÍâ²Î¿¼×ÊÁÏ¡£¿Î¼þÖаüº¬ÁË´óÁ¿µÄʵÑéͼƬ£¬°Ñ³éÏóµÄ¿ÕÆø¶¯Á¦Ñ§ÐÎÏ󻯣¬¶Ôѧϰ´óÓÐñÔÒæ£¡ ÕâÊǶàÄêÇ°ÍøÉÏÕÒµ½µÄ×ÊÁÏ£¬Ò»Ö±Ã»Óз¢£¬Ï£Íû¶ÔÓÐÖ¾ÓÚѧϰ¿ÕÆø¶¯Á¦Ñ§¡¢Á÷ÌåÁ¦Ñ§µÄÅóÓÑÓаïÖú¡£ ÄÚÈݽØÍ¼ |
» ²ÂÄãϲ»¶
277¡¢Ñ§Ë¶£¬Çóµ÷¼Á ÊýÒ»104£¬
ÒѾÓÐ4È˻ظ´
²ÄÁÏÇóµ÷¼Á
ÒѾÓÐ18È˻ظ´
²ÄÁϹ¤³Ì322·Ö
ÒѾÓÐ13È˻ظ´
277Çóµ÷¼Á
ÒѾÓÐ13È˻ظ´
±¾¿ÆÖ£ÖÝ´óѧ£¬Ò»Ö¾Ô¸»ª¶«Ê¦·¶´óѧ282Çóµ÷¼Á
ÒѾÓÐ19È˻ظ´
Ò»Ö¾Ô¸¹þ¹¤´ó£¬³õÊÔ329£¬Çó»·¾³¿ÆÑ§Ó빤³Ìµ÷¼Á£¡
ÒѾÓÐ10È˻ظ´
071000ÉúÎïѧ£¬Ò»Ö¾Ô¸ÉîÛÚ´óѧ296·Ö£¬Çóµ÷¼Á
ÒѾÓÐ10È˻ظ´
²ÄÁÏ¿¼ÑÐÇóµ÷¼Á×Ü·Ö280
ÒѾÓÐ25È˻ظ´
µ÷¼Á
ÒѾÓÐ11È˻ظ´
¿¼Ñе÷¼Á
ÒѾÓÐ3È˻ظ´
» ±¾Ö÷ÌâÏà¹Ø¼ÛÖµÌùÍÆ¼ö£¬¶ÔÄúͬÑùÓаïÖú:
·ç¹¤³ÌÓ빤ҵ¿ÕÆø¶¯Á¦Ñ§
ÒѾÓÐ73È˻ظ´
һ̨ÒÇÆ÷²âPM10£¬PM2.5£¬PM1£¬ÔõôʵÏÖ£¿
ÒѾÓÐ27È˻ظ´
Æû³µÆô¶¯×î´ó¼ÓËÙ¶ÈÎÊÌ⣿
ÒѾÓÐ20È˻ظ´
ÔõôѧÁ÷ÌåÁ¦Ñ§£¿
ÒѾÓÐ16È˻ظ´
ICEMÍø¸ñ»®·ÖÎÊÌâ
ÒѾÓÐ15È˻ظ´
±ÏÒµºÜ¼±¡£¡£¡£¹â´ß»¯¶¯Á¦Ñ§ ¸ÃͶʲôSCIÆÚ¿¯
ÒѾÓÐ7È˻ظ´
¡¾½Ì³Ì¡¿¹ÌÌå»ð¼ý·¢¶¯»ú¿ÕÆø¶¯Á¦Ñ§£¨ÊÓÆµ½Ì³Ì£©£¨ÄϾ©Àí¹¤´óѧ £©
ÒѾÓÐ10È˻ظ´
ͬ¼Ã·ç¶´ÖÐÐÄ ¿ÕÆø¶¯Á¦Ñ§¹¤³Ìʦ´ýÓö£¿
ÒѾÓÐ14È˻ظ´
¿ÕÆø¶¯Á¦Ñ§Ñ§±¨Í¶¸åÎÊÌâ
ÒѾÓÐ11È˻ظ´
¡¾¿Î¼þ¡¿¿ÕÆø¶¯Á¦Ñ§Ó¢ÎĿμþ.aerodynamics
ÒѾÓÐ37È˻ظ´
È¥SCIµãÆÀÇø¿´ÁËһȦ£¬·¢ÏÖ¿ÕÆø¶¯Á¦Ñ§·½ÃæµÄÆÚ¿¯Ã»ÓÐô£¿
ÒѾÓÐ5È˻ظ´
µÚÒ»ÐÔÔÀíÊÇʲô¹í¶«Î÷
ÒѾÓÐ31È˻ظ´
ÖйúÉÌ·ÉÉϺ£·É»úÉè¼ÆÑо¿Ôº
ÒѾÓÐ4È˻ظ´
¡¾ÇóÖú¡¿¿ÕÆø¶¯Á¦Ñ§´ó¼Ò¸Ð¾õǰ¾°ÔõÑù£¿
ÒѾÓÐ11È˻ظ´
2Â¥2014-04-23 09:36:46
3Â¥2015-05-12 01:27:57
4Â¥2017-06-17 19:51:33














»Ø¸´´ËÂ¥