²é¿´: 986  |  »Ø¸´: 9

»´¸è

гæ (³õÈëÎÄ̳)


[½»Á÷] ¶¯Á¿·½³Ì½â¶Á

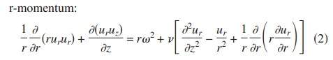
Õâ¸ö¶¯Á¿·½³Ì×ó±ß²»Ì«Àí½âÔõÃ´ÍÆ³öÀ´µÄ£¬ÊDz»ÊÇËü´íÁËÄØ
¶¯Á¿·½³Ì½â¶Á
¶¯Á¿·½³Ì.jpg
»Ø¸´´ËÂ¥

» ²ÂÄãϲ»¶

» ±¾Ö÷ÌâÏà¹Ø¼ÛÖµÌùÍÆ¼ö£¬¶ÔÄúͬÑùÓаïÖú:

» ÇÀ½ð±ÒÀ²£¡»ØÌû¾Í¿ÉÒԵõ½:

²é¿´È«²¿É¢½ðÌù

ÒÑÔÄ   »Ø¸´´ËÂ¥   ¹Ø×¢TA ¸øTA·¢ÏûÏ¢ ËÍTAºì»¨ TAµÄ»ØÌû

zfm16810

Í­³æ (ÖøÃûдÊÖ)


¡ï
»´¸è(½ð±Ò+1): лл²ÎÓë
¸ø³ö³ö´¦£¬·½ºÃ½â´ð
2Â¥2013-08-05 22:29:53
ÒÑÔÄ   »Ø¸´´ËÂ¥   ¹Ø×¢TA ¸øTA·¢ÏûÏ¢ ËÍTAºì»¨ TAµÄ»ØÌû

»´¸è

гæ (³õÈëÎÄ̳)


ÒýÓûØÌû:
2Â¥: Originally posted by zfm16810 at 2013-08-05 22:29:53
¸ø³ö³ö´¦£¬·½ºÃ½â´ð

һƪÎÄÏ×Öеģ¬Ã»¼ûµ½¹ýÕâÑùµÄÐÎʽ
6Â¥2013-08-06 09:10:32
ÒÑÔÄ   »Ø¸´´ËÂ¥   ¹Ø×¢TA ¸øTA·¢ÏûÏ¢ ËÍTAºì»¨ TAµÄ»ØÌû

a114977445

Òø³æ (СÓÐÃûÆø)


¡ï
»´¸è(½ð±Ò+1): лл²ÎÓë
ûÓÐǰºóÎÄÔõô½â´ð£¬¸÷¸ö²ÎÊýµÄ¶¨ÒåÊÇʲô£¿
7Â¥2013-08-06 11:04:46
ÒÑÔÄ   »Ø¸´´ËÂ¥   ¹Ø×¢TA ¸øTA·¢ÏûÏ¢ ËÍTAºì»¨ TAµÄ»ØÌû

bfamq

Ìú¸Ëľ³æ (ÖøÃûдÊÖ)


¡ï
»´¸è(½ð±Ò+1): лл²ÎÓë
Ó¦¸ÃÊÇÖù×ø±êϵİɣ¬ur ºÍ uzÊÇ ËÙ¶È·ÖÁ¿Â𣿠¸Ð¾õºÃ¿Óµù
8Â¥2013-08-06 12:04:18
ÒÑÔÄ   »Ø¸´´ËÂ¥   ¹Ø×¢TA ¸øTA·¢ÏûÏ¢ ËÍTAºì»¨ TAµÄ»ØÌû

ÀÏÕÅÏÈÉú

Í­³æ (СÓÐÃûÆø)


¡ï
»´¸è(½ð±Ò+1): лл²ÎÓë
ºÃÏñÊÇÁ÷ÌåÁ¦Ñ§µÄ·½³Ì£¬Öù×ø±êÏ£¬º¬ÒåÓдý²¹³ä¡£
10Â¥2013-08-08 15:55:38
ÒÑÔÄ   »Ø¸´´ËÂ¥   ¹Ø×¢TA ¸øTA·¢ÏûÏ¢ ËÍTAºì»¨ TAµÄ»ØÌû
¼òµ¥»Ø¸´
haixiawu3Â¥
2013-08-05 22:30   »Ø¸´  
»´¸è(½ð±Ò+1): лл²ÎÓë
jackeyz4Â¥
2013-08-05 22:41   »Ø¸´  
»´¸è(½ð±Ò+1): лл²ÎÓë
boyuehu5Â¥
2013-08-05 22:44   »Ø¸´  
»´¸è(½ð±Ò+1): лл²ÎÓë
2013-08-06 22:56   »Ø¸´  
»´¸è(½ð±Ò+1): лл²ÎÓë
Ïà¹Ø°æ¿éÌø×ª ÎÒÒª¶©ÔÄÂ¥Ö÷ »´¸è µÄÖ÷Ìâ¸üÐÂ
×î¾ßÈËÆøÈÈÌûÍÆ¼ö [²é¿´È«²¿] ×÷Õß »Ø/¿´ ×îºó·¢±í
[¿¼ÑÐ] 0703»¯Ñ§µ÷¼Á +10 ÄÝÄÝninicgb 2026-03-15 14/700 2026-03-19 22:59 by ѧԱ8dgXkO
[¿¼ÑÐ] 320Çóµ÷¼Á0856 +3 ²»ÏëÆðÃû×Ö112 2026-03-19 3/150 2026-03-19 22:53 by ѧԱ8dgXkO
[¿¼ÑÐ] ÉúÎïѧµ÷¼ÁÕÐÈË£¡£¡£¡ +3 ɽº£Ììá° 2026-03-17 4/200 2026-03-19 21:34 by ÔõôÊÍ»³
[¿¼²©] É격26Äê +3 °Ë6°Ë68 2026-03-19 3/150 2026-03-19 19:43 by nxgogo
[¿¼ÑÐ] 317Çóµ÷¼Á +3 Éê×ÓÉêÉê 2026-03-19 6/300 2026-03-19 14:16 by Éê×ÓÉêÉê
[¿¼ÑÐ] Ò»Ö¾Ô¸Äϲý´óѧ£¬327·Ö£¬²ÄÁÏÓ뻯¹¤085600 +3 Ncdx123456 2026-03-19 3/150 2026-03-19 13:18 by houyaoxu
[¿¼ÑÐ] 328Çóµ÷¼Á£¬Ó¢ÓïÁù¼¶551£¬ÓпÆÑо­Àú +3 ÉúÎ﹤³Ìµ÷¼Á 2026-03-17 7/350 2026-03-18 20:41 by Wangjingyue
[¿¼ÑÐ] 297Çóµ÷¼Á +8 Ï·¾«µ¤µ¤µ¤ 2026-03-17 8/400 2026-03-18 14:30 by laoshidan
[¿¼ÑÐ] 0854£¬¼ÆËã»úÀàÕÐÊÕµ÷¼Á +3 ºúÀ±ÌÀ·ÅÌÇ 2026-03-15 6/300 2026-03-18 12:09 by Éϰ¶Éϰ¶¡­¡­..
[¿¼ÑÐ] 299Çóµ÷¼Á +5 ¡÷С͸Ã÷* 2026-03-17 5/250 2026-03-18 11:49 by ¾¡Ë´Ò¢1
[¿¼ÑÐ] ¹¤¿Æ²ÄÁÏ085601 279Çóµ÷¼Á +6 À§ÓÚÐdz¿ 2026-03-17 6/300 2026-03-18 10:21 by kkcoco25
[¿¼ÑÐ] 334Çóµ÷¼Á +3 Ö¾´æ¸ßÔ¶ÒâÔÚ»úÐ 2026-03-16 3/150 2026-03-18 08:34 by lm4875102
[¿¼ÑÐ] Ò»Ö¾Ô¸ËÕÖÝ´óѧ²ÄÁϹ¤³Ì£¨085601£©×¨Ë¶ÓпÆÑо­ÀúÈýÏî¹ú½±Á½¸öʵÓÃÐÍרÀûÒ»ÏîÊ¡¼¶Á¢Ïî +6 ´ó»ðɽС»ðɽ 2026-03-16 8/400 2026-03-17 15:05 by ÎÞи¿É»÷111
[¿¼ÑÐ] Ò»Ö¾Ô¸ÄϾ©´óѧ£¬080500²ÄÁÏ¿ÆÑ§Ó빤³Ì£¬µ÷¼Á +4 Jy? 2026-03-16 4/200 2026-03-17 11:02 by gaoqiong
[¿¼ÑÐ] »úеר˶325£¬Ñ°ÕÒµ÷¼ÁԺУ +3 y9999 2026-03-15 5/250 2026-03-16 19:58 by y9999
[¿¼ÑÐ] 070303 ×Ü·Ö349Çóµ÷¼Á +3 LJY9966 2026-03-15 5/250 2026-03-16 14:24 by xwxstudy
[¿¼ÑÐ] 327Çóµ÷¼Á +6 ʰ¹âÈÎȾ 2026-03-15 11/550 2026-03-15 22:47 by ʰ¹âÈÎȾ
[¿¼ÑÐ] 297Ò»Ö¾Ô¸ÉϽ»085600Çóµ÷¼Á +5 Ö¸¼â°ËǧÀï 2026-03-14 5/250 2026-03-14 17:26 by a²»Ò×
[¿¼ÑÐ] ¸´ÊÔµ÷¼Á +3 ºôºô£¿~+123456 2026-03-14 3/150 2026-03-14 16:53 by WTUChen
[¿¼ÑÐ] ÕÐÊÕ0805£¨²ÄÁÏ£©µ÷¼Á +3 18595523086 2026-03-13 3/150 2026-03-14 00:33 by 123%¡¢
ÐÅÏ¢Ìáʾ
ÇëÌî´¦ÀíÒâ¼û