| ²é¿´: 1077 | »Ø¸´: 3 | ||
ݱ¾ýгæ (³õÈëÎÄ̳)
|
[ÇóÖú]
²âÁËÒ»¸öÑ»·¼«»¯ÇúÏߣ¬²»»á·ÖÎö£¬ÔÚÏߵȣ¬¼±¼±¼±
|
|
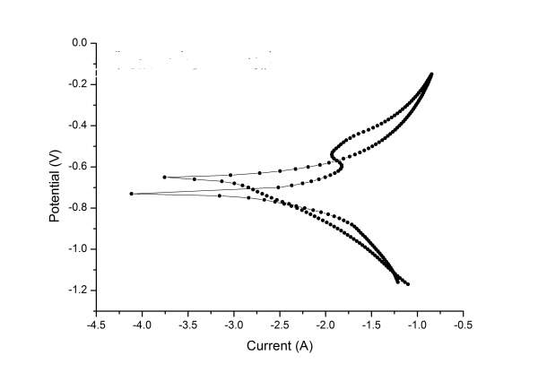
Èçͼ£¬ÇëÎÊÔõô¿´ÊÇ·ñ·¢Éú¶Û»¯£¬µãÊ´µç룬±£»¤µç룬»÷´©µçλµÈµÈ£¿´ÓÏÂͼ¿ÉÒԵõ½ÄÄЩÐÅÏ¢£¬Çó°ïÖú°¡Çó°ïÖú¡£¡£¡£¡£ cp.jpg [ Last edited by ݱ¾ý on 2013-7-31 at 16:04 ] |
» ²ÂÄãϲ»¶
ÄÏ´ó»¯Ñ§µ÷¼Á
ÒѾÓÐ11È˻ظ´
ÁòËáÄÆÈÜҺŨ¶ÈÓëÃܶÈÇúÏß
ÒѾÓÐ0È˻ظ´
ÎïÀí»¯Ñ§ÂÛÎÄÈóÉ«/·ÒëÔõôÊÕ·Ñ?
ÒѾÓÐ227È˻ظ´
0703µ÷¼Á
ÒѾÓÐ4È˻ظ´
1
ÒѾÓÐ21È˻ظ´
0703 µ÷¼Á
ÒѾÓÐ6È˻ظ´
ÕÐÊÕ
ÒѾÓÐ0È˻ظ´
Î÷ÄÏij211ÕÐ27½ì²©Ê¿
ÒѾÓÐ30È˻ظ´
´óÁ¬¹¤Òµ½ÜÇà/³¤½ÍŶÓ-ÉúÎïÖʲÄÁÏ-´¢ÄÜµç³Ø·½ÏòÕÐÊÕ2026¼¶²©Ê¿Éú
ÒѾÓÐ0È˻ظ´
Çóµ÷¼ÁÒ»Ö¾Ô¸º£´ó£¬0703»¯Ñ§Ñ§Ë¶304·Ö£¬Óдó´´ÏîÄ¿£¬Ëļ¶Òѹý
ÒѾÓÐ10È˻ظ´
» ±¾Ö÷ÌâÏà¹Ø¼ÛÖµÌùÍÆ¼ö£¬¶ÔÄúͬÑùÓаïÖú:
ÓÃCHI660DÈçºÎ²âÑ»·Ñô¼«¼«»¯ÇúÏß
ÒѾÓÐ12È˻ظ´
Ôõô´Ó¼«»¯ÇúÏߺÍÑ»·¼«»¯ÇúÏß·ÖÎö¿¹µãÊ´ÄÜÁ¦
ÒѾÓÐ6È˻ظ´
µç»¯Ñ§¼«»¯ÇúÏßͼ£¬·ÖÎöÇóÖú¡£¡£¡£¡£
ÒѾÓÐ16È˻ظ´
Çë½Ì¸ßÊÖÈçºÎ·ÖÎöÕâһϵÁм«»¯ÇúÏß
ÒѾÓÐ4È˻ظ´
Ñ»··ü°²ÇúÏßͼ·ÖÎö
ÒѾÓÐ8È˻ظ´
ÇóÒ»¸ö´ÅÐÔÇúÏß·ÖÎö
ÒѾÓÐ6È˻ظ´
²âÒõ¼«¼«»¯ÇúÏß·¢ÏÖÎÊÌ⣡ÍûÖ¸µã£¡£¡£¡
ÒѾÓÐ8È˻ظ´
¡¾ÇóÖú¡¿Çó¸ßÊÖ°ïæ·ÖÎöÂÁºÏ½ð¼«»¯ÇúÏß
ÒѾÓÐ4È˻ظ´
°ïæ·ÖÎöϼ«»¯ÇúÏß
ÒѾÓÐ10È˻ظ´
Ñ»·¼«»¯ÇúÏߵĵçÁ÷ÉèÖÃÎÊÌâ
ÒѾÓÐ6È˻ظ´
ÓÃCHI660ÈçºÎ²âÊÔÑô¼«¼«»¯ÇúÏߣ¿
ÒѾÓÐ22È˻ظ´
¡¾ÇóÖú¡¿Ñ»·¼«»¯ÇúÏßÔõô²â
ÒѾÓÐ9È˻ظ´
¡¾ÇóÖú¡¿¼«»¯ÇúÏßÓëÑ»··ü°²µÄɨËÙÎÊÌâ
ÒѾÓÐ7È˻ظ´
¡¾ÇóÖú¡¿Çë½Ì¸÷λ´óÏÀ¸¯Ê´²âÊÔÖеÄÑ»··ü°²Ó뼫»¯ÇúÏßµÄÇø±ð£¿
ÒѾÓÐ7È˻ظ´
¡¾ÇóÖú¡¿¹ØÓÚÑ»··ü°²ÇúÏß·ÖÎö¼°»ù±¾ÎÊÌâ
ÒѾÓÐ3È˻ظ´
¡¾ÇóÖú¡¿¹ØÓÚ¼«»¯ÇúÏߵIJâÊÔ
ÒѾÓÐ15È˻ظ´
¡¾ÇóÖú¡¿ÇóÖúÒ»¸ö¼«»¯ÇúÏßµÄÎÊÌ⣿
ÒѾÓÐ9È˻ظ´
corrtest
ľ³æ (ÖøÃûдÊÖ)
- Ó¦Öú: 486 (˶ʿ)
- ¹ó±ö: 0.006
- ½ð±Ò: 2623.6
- ºì»¨: 48
- Ìû×Ó: 1360
- ÔÚÏß: 776.8Сʱ
- ³æºÅ: 687386
- ×¢²á: 2009-01-04
- רҵ: µç»¯Ñ§
2Â¥2013-08-01 15:24:10
ݱ¾ý
гæ (³õÈëÎÄ̳)
- Ó¦Öú: 2 (Ó×¶ùÔ°)
- ½ð±Ò: 1.5
- Ìû×Ó: 16
- ÔÚÏß: 25.2Сʱ
- ³æºÅ: 1176159
- ×¢²á: 2010-12-23
- רҵ: ½ðÊô²ÄÁϵÄÄ¥ËðÓëĥʴ
3Â¥2013-08-14 16:46:29
corrtest
ľ³æ (ÖøÃûдÊÖ)
- Ó¦Öú: 486 (˶ʿ)
- ¹ó±ö: 0.006
- ½ð±Ò: 2623.6
- ºì»¨: 48
- Ìû×Ó: 1360
- ÔÚÏß: 776.8Сʱ
- ³æºÅ: 687386
- ×¢²á: 2009-01-04
- רҵ: µç»¯Ñ§
| ¸øÄãÁ½¸ö±ê×¼°É£¬¿´¿´ÔÙ½»Á÷ |
» ±¾Ìû¸½¼þ×ÊÔ´Áбí
-
»¶Ó¼à¶½ºÍ·´À¡£ºÐ¡Ä¾³æ½öÌṩ½»Á÷ƽ̨£¬²»¶Ô¸ÃÄÚÈݸºÔð¡£
±¾ÄÚÈÝÓÉÓû§×ÔÖ÷·¢²¼£¬Èç¹ûÆäÄÚÈÝÉæ¼°µ½ÖªÊ¶²úȨÎÊÌ⣬ÆäÔðÈÎÔÚÓÚÓû§±¾ÈË£¬Èç¶Ô°æÈ¨ÓÐÒìÒ飬ÇëÁªÏµÓÊÏ䣺xiaomuchong@tal.com - ¸½¼þ 1 : YYT0695-2008СÐÍÖ²ÈëÆ÷е¸¯Ê´Ãô¸ÐÐÔµÄÑ»·¶¯µçλ¼«»¯±ê×¼²âÊÔ·½·¨.PDF
- ¸½¼þ 2 : GB-T-17899-1999²»Ðâ¸ÖµãÊ´µçλ²âÁ¿·½·¨.pdf
2013-08-14 17:33:50, 854.19 K
2013-08-14 17:34:07, 90.5 K
4Â¥2013-08-14 17:34:29













»Ø¸´´ËÂ¥
5