版块导航
正在加载中...
客户端APP下载
论文辅导
申博辅导
登录
注册
帖子
帖子
用户
本版
应《网络安全法》要求,自2017年10月1日起,未进行实名认证将不得使用互联网跟帖服务。为保障您的帐号能够正常使用,请尽快对帐号进行手机号验证,感谢您的理解与支持!
24小时热门版块排行榜
>
论坛更新日志
(2788)
>
虫友互识
(587)
>
文献求助
(135)
>
导师招生
(125)
>
休闲灌水
(123)
>
考博
(116)
>
教师之家
(71)
>
找工作
(68)
>
博后之家
(67)
>
硕博家园
(65)
>
论文投稿
(63)
>
论文道贺祈福
(61)
>
基金申请
(57)
>
考研
(50)
>
公派出国
(47)
>
招聘信息布告栏
(30)
小木虫论坛-学术科研互动平台
»
专业学科区
»
物理
»
原子、分子&光学
»
设计光纤光栅,请问直流折射率交流折射率与普通的折射率有区别吗
1
1/1
返回列表
查看: 304 | 回复: 0
只看楼主
@他人
存档
新回复提醒
(忽略)
收藏
在APP中查看
littlewwld
铁虫
(小有名气)
应助: 0
(幼儿园)
金币: 83.1
红花: 3
帖子: 114
在线: 22.7小时
虫号: 1846036
注册: 2012-06-03
性别: GG
专业: 光学
[
求助
]
设计光纤光栅,请问直流折射率交流折射率与普通的折射率有区别吗
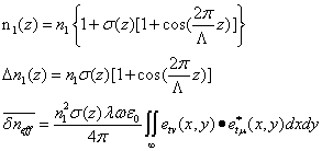
设计光纤光栅遇到问题,直流折射率是第二个式子吗?
请问光栅的直流折射率改变两怎么求?也就是图片中第三个公式怎么求?
一般光纤光栅的传播常数beta是他的函数,这个在切趾光栅时不能当做常数的!
1.gif
2.gif
回复此楼
» 猜你喜欢
基金委咋了?2026年的指南还没有出来?
已经有9人回复
拟解决的关键科学问题还要不要写
已经有4人回复
基金申报
已经有5人回复
国自然申请面上模板最新2026版出了吗?
已经有17人回复
纳米粒子粒径的测量
已经有8人回复
疑惑?
已经有5人回复
计算机、0854电子信息(085401-058412)调剂
已经有5人回复
Materials Today Chemistry审稿周期
已经有5人回复
溴的反应液脱色
已经有7人回复
推荐一本书
已经有12人回复
拒接理所当然
1楼
2013-07-28 21:30:09
已阅
回复此楼
关注TA
给TA发消息
送TA红花
TA的回帖
智能机器人
Robot
(super robot)
我们都爱小木虫
找到一些相关的精华帖子,希望有用哦~
请问 材料的白度和折射率,反射率的关系
已经有4人回复
PMMA折射率表达式
已经有9人回复
求助:50/125um的多模光纤,纤芯和包层折射率
已经有5人回复
半导体折射率与禁带宽度的关系
已经有18人回复
通过怎样参杂使得二氧化硅薄膜的折射率在1.440--1.445之间
已经有6人回复
求助光纤纤芯和包层折射率问题
已经有5人回复
影响玻璃折射率的因素
已经有12人回复
请问谁知道康宁单模光纤SMF-28e的折射率是多少?
已经有3人回复
混合溶剂折射率怎么求
已经有5人回复
咨询光纤外部(周围)折射率与光纤本身的有效折射率之间的联系与区别,
已经有3人回复
粉末折射率的测量
已经有8人回复
如何降低聚合物的折射率
已经有16人回复
【求助】光纤光栅软件optigrating交流
已经有11人回复
RF板块中金属的折射率如何设置
已经有3人回复
求助材料折射率随波长变化数据
已经有7人回复
金属折射率表
已经有6人回复
【求助】请教有关物质复折射率的问题
已经有4人回复
【求助】关于物质的折射率的问题
已经有8人回复
【求助】固体高分子折射率测试
已经有6人回复
【交流】二氧化钛薄膜的折射率
已经有4人回复
【求助】关于长周期光栅有效折射率求解,大家帮忙看一下
已经有6人回复
【求助】求材料的有效折射率?
已经有8人回复
【求助】普通1550单模光纤的折射率分布?
已经有6人回复
【求助】AlInP复折射率
已经有5人回复
点击这里搜索更多相关资源
科研从小木虫开始,人人为我,我为人人
相关版块跳转
数理科学综合
机械
物理
数学
农林
食品
地学
能源
信息科学
土木建筑
航空航天
转基因
我要订阅楼主
littlewwld
的主题更新
1
1/1
返回列表
如果回帖内容含有宣传信息,请如实选中。否则帐号将被全论坛禁言
普通表情
龙
兔
虎
猫
百度网盘
|
360云盘
|
千易网盘
|
华为网盘
在新窗口页面中打开自己喜欢的网盘网站,将文件上传后,然后将下载链接复制到帖子内容中就可以了。
信息提示
关闭
请填处理意见
关闭
确定