| 查看: 1440 | 回复: 3 | |||||
[求助]
【求教】关于FLUENT里的cavitation模型
|
|
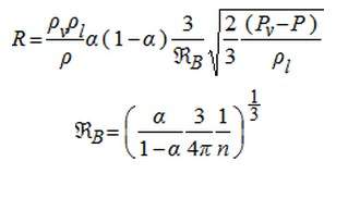
请教下各位: 1.众所周知,FLUENT里的cavitation模型可以模拟液相到气相的转变,那么液——>气后,能否模拟气——>液的转变呢? 2.ANSYS FLUENT里cavitation模型中一种——Schnerr模型,它对气泡半径的定义似乎有问题: RB=pow(3*a/[4*pi*n*(1-a)],1./3.),其中a为气相体积分数——当a为1时,RB岂不是要趋近无穷大?而当a=0时,转换率R的计算公式中是除以RB的(详见HELP),也即当a=0时,转换率R趋近于无穷大。实际上,我在用Schnerr模型算汽蚀时,由于需要在能量方程里添加源项,即转换率R乘以潜热,而Schnerr模型对RB这样的定义,导致我计算根本无法进行,不知有何解决办法? 以上两个问题恳请各位不吝赐教,感谢! |
» 收录本帖的淘帖专辑推荐
fluent模拟问题 | 传热传质 | 多相流UDF |
» 猜你喜欢
遇见不省心的家人很难过
已经有24人回复
依托企业入选了国家启明计划青年人才。有无高校可以引进的。
已经有6人回复
博士延得我,科研能力直往上蹿
已经有9人回复
天津大学招2026.09的博士生,欢迎大家推荐交流(博导是本人)
已经有6人回复
AI 太可怕了,写基金时,提出想法,直接生成的文字比自己想得深远,还有科学性
已经有6人回复
有院领导为了换新车,用横向课题经费买了俩车
已经有9人回复
酰胺脱乙酰基
已经有13人回复
同年申请2项不同项目,第1个项目里不写第2个项目的信息,可以吗
已经有4人回复
有时候真觉得大城市人没有县城人甚至个体户幸福
已经有10人回复
» 本主题相关价值贴推荐,对您同样有帮助:
求助fluent里面怎么让流体转动,模型如图
已经有17人回复
我用fluent做的三维模型,内部显示不出来怎么办?
已经有13人回复
fluent二维模型本质
已经有9人回复
fluent中离散相模型遇到的问题,求高手指点
已经有9人回复
用fluent做模拟时模型太大怎么用相似准则缩小模型计算
已经有12人回复
FLUENT欧拉模型的应用
已经有153人回复
用Fluent中的mixture模型做气固两相流仿真时,粒径的设置及收敛问题
已经有17人回复
关于fluent离散相模型的几个问题
已经有16人回复
fluent VOF模型后处理
已经有12人回复
急求!!请问fluent里如何利用多孔介质模型模拟两相流吸附过滤?
已经有8人回复
Fluent中如何修改湍流模型的计算参数
已经有4人回复
fluent单相流中的双流体模型
已经有13人回复
fluent 关于prePDF模型求助
已经有13人回复
【求助】fluent二维模型中热流密度的设置
已经有12人回复
【求助】有关fluent中DPM模型的模拟问题
已经有16人回复
【答案】应助回帖
★ ★ ★ ★ ★ ★ ★ ★ ★ ★ ★ ★ ★ ★ ★ ★ ★ ★ ★ ★ ★ ★ ★
感谢参与,应助指数 +1
xiegangmai: 金币+3, 谢谢参与! 2013-07-24 21:50:30
enigmafwj: 金币+20, ★★★★★最佳答案 2013-08-03 20:23:51
感谢参与,应助指数 +1
xiegangmai: 金币+3, 谢谢参与! 2013-07-24 21:50:30
enigmafwj: 金币+20, ★★★★★最佳答案 2013-08-03 20:23:51
|
1.第一个问题,从模型的原理上来讲,汽蚀就是气液相之间的质量转移,所以是可行的。 2.文中提到当提及分数为1或0时,源项为0,也即没有考虑到后面Rb的影响(图片11),实际上Rb这时是一个很奇怪的数。 鉴于这样,lz编程时可以指定当体积分数为1或0时,源项为0,这样能量项也为0 3.lz是研究低温流体汽蚀? 1.jpg 11.jpg |

2楼2013-07-21 12:42:48

3楼2013-08-04 15:41:41
4楼2013-08-04 15:44:20













回复此楼