| 查看: 580 | 回复: 2 | |||
[求助]
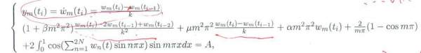
matlab解含有定积分的微分方程组。方程组如图所示,求大神帮忙!!!
|
|||
|
|
|||
月只蓝主管区长 (职业作家)
|
|||
![]() |
|||
|
2楼2013-07-09 20:19:53
|
|
||
|
3楼2013-07-09 20:35:26
|
|













回复此楼
