版块导航
正在加载中...
客户端APP下载
论文辅导
申博辅导
登录
注册
帖子
帖子
用户
本版
应《网络安全法》要求,自2017年10月1日起,未进行实名认证将不得使用互联网跟帖服务。为保障您的帐号能够正常使用,请尽快对帐号进行手机号验证,感谢您的理解与支持!
24小时热门版块排行榜
>
论坛更新日志
(1164)
>
休闲灌水
(81)
>
虫友互识
(66)
>
论文投稿
(16)
>
导师招生
(15)
>
基金申请
(7)
>
教师之家
(7)
>
硕博家园
(6)
>
专业外语
(5)
>
博后之家
(5)
>
外文书籍求助
(5)
>
考博
(5)
>
考研
(5)
>
论文道贺祈福
(4)
>
找工作
(4)
>
公派出国
(4)
小木虫论坛-学术科研互动平台
»
材料区
»
材料综合
»
材料其他
»
求助【origin作图】问题 谢谢!
5
1/1
返回列表
查看: 1393 | 回复: 9
只看楼主
@他人
存档
新回复提醒
(忽略)
收藏
在APP中查看
当前只显示满足指定条件的回帖,点击这里查看本话题的所有回帖
筑人云721
木虫
(小有名气)
应助: 0
(幼儿园)
金币: 3839.5
红花: 1
帖子: 233
在线: 133.6小时
虫号: 1414385
注册: 2011-09-23
专业: 金属材料的合金相、相变及
[
求助
]
求助【origin作图】问题 谢谢!
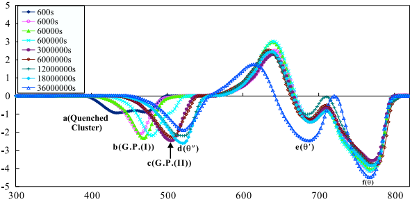
本人小白,求助各位大神,请问下图是如何做的?就是每条曲线的波峰在X轴的位置不一样。每条曲线都有数据。谢谢!
01.png
回复此楼
» 猜你喜欢
海南大学 化学化工学院 无机化学方向招聘博士生
已经有0人回复
酚醛树脂性能测试
已经有1人回复
冶金与矿业论文润色/翻译怎么收费?
已经有181人回复
湘潭大学材料学院潘锴教授团队招收博士研究生
已经有0人回复
香江学者计划2026年度申请启动!港科大李桂君教授课题组
已经有1人回复
求博导推荐
已经有1人回复
211本985硕功能陶瓷方向申博自荐
已经有21人回复
申博求助
已经有4人回复
2026博士申请-成果:一区一篇,二区一篇
已经有1人回复
材料方向博士,青岛
已经有1人回复
» 本主题相关价值贴推荐,对您同样有帮助:
新人发帖:求助关于联陪资助资金问题,谢谢!
已经有13人回复
求助固定床的问题,谢谢了
已经有6人回复
投稿求助,批注和摘要问题,谢谢!
已经有8人回复
求助德国签证问题,谢谢
已经有3人回复
求助问题,谢谢各位高手!
已经有4人回复
光泵核磁共振实验的问题求助 谢谢各位
已经有4人回复
面上还是连续,这是一个问题?求助了,谢谢了!
已经有5人回复
求助关于质粒提取的若干问题,谢谢了!!
已经有5人回复
求助 一最值问题,谢谢大家啦!!
已经有5人回复
【求助/交流】急,求助关于琼脂糖凝胶的问题,谢谢!
已经有8人回复
【求助】液相仪器检测相关问题,谢谢!
已经有3人回复
【求助】液相色谱色谱条件选择问题,谢谢!
已经有3人回复
【求助】样品测定分析问题,谢谢!
已经有6人回复
【求助】非化学专业人士的化学问题,简单的很,谢谢大家帮助!
已经有22人回复
【求助】请教:红外光谱图解析问题,谢谢大家!!
已经有5人回复
【求助】德国签证的一些问题,谢谢!
已经有9人回复
【求助】液相 含量测定问题?谢谢!
已经有4人回复
【问题求助】谢谢大家
已经有71人回复
【求助/交流】进化树问题求助(在线等)先谢谢了
已经有6人回复
【请教】O1s分峰问题求助!谢谢大家!
已经有4人回复
【求助】关于免疫反应问题求教。谢谢!
已经有4人回复
满天夏日星,会心一笑一星恒,,
1楼
2013-06-29 16:53:23
已阅
回复此楼
关注TA
给TA发消息
送TA红花
TA的回帖
筑人云721
木虫
(小有名气)
应助: 0
(幼儿园)
金币: 3839.5
红花: 1
帖子: 233
在线: 133.6小时
虫号: 1414385
注册: 2011-09-23
专业: 金属材料的合金相、相变及
引用回帖:
2楼
:
Originally posted by
yes_121
at 2013-06-29 17:02:28
没看懂楼主这幅图的特殊之处在哪里?不就是把每组数据放在Origin的worksheet里面,然后全选,画图。。。左上角那个图标沈科仪修改的,里面的文字可以自己添加。
呃,多谢,我试试!
回复此楼
高级回复
满天夏日星,会心一笑一星恒,,
3楼
2013-06-29 17:05:51
已阅
回复此楼
关注TA
给TA发消息
送TA红花
TA的回帖
查看全部 10 个回答
yes_121
木虫
(小有名气)
应助: 2
(幼儿园)
金币: 2819.8
散金: 163
红花: 4
帖子: 172
在线: 182.2小时
虫号: 2151463
注册: 2012-11-27
性别: GG
专业: 半导体材料
【答案】应助回帖
★ ★ ★ ★ ★
感谢参与,应助指数 +1
筑人云721: 金币+5,
★
有帮助
2013-06-29 17:24:37
没看懂楼主这幅图的特殊之处在哪里?不就是把每组数据放在Origin的worksheet里面,然后全选,画图。。。左上角那个图标沈科仪修改的,里面的文字可以自己添加。
赞
一下
回复此楼
2楼
2013-06-29 17:02:28
已阅
回复此楼
关注TA
给TA发消息
送TA红花
TA的回帖
筑人云721
木虫
(小有名气)
应助: 0
(幼儿园)
金币: 3839.5
红花: 1
帖子: 233
在线: 133.6小时
虫号: 1414385
注册: 2011-09-23
专业: 金属材料的合金相、相变及
引用回帖:
2楼
:
Originally posted by
yes_121
at 2013-06-29 17:02:28
没看懂楼主这幅图的特殊之处在哪里?不就是把每组数据放在Origin的worksheet里面,然后全选,画图。。。左上角那个图标沈科仪修改的,里面的文字可以自己添加。
还是没搞明白,先放到excel中的数据好像要改改,不过还是谢谢你。
赞
一下
回复此楼
满天夏日星,会心一笑一星恒,,
4楼
2013-06-29 17:24:23
已阅
回复此楼
关注TA
给TA发消息
送TA红花
TA的回帖
逸兴江天
金虫
(小有名气)
应助: 1
(幼儿园)
金币: 919.9
红花: 1
帖子: 186
在线: 93.5小时
虫号: 2497252
注册: 2013-06-05
专业: 外国语言
【答案】应助回帖
★ ★ ★ ★ ★ ★ ★ ★ ★ ★ ★ ★ ★ ★ ★
感谢参与,应助指数 +1
筑人云721: 金币+15,
★★★
很有帮助
2013-07-03 14:50:24
数据全部放入origin里面,分为X1Y1,X2Y2,X3Y3............等,然后全部选中,点左下角line那个按钮,应该可以出来这样的图像,每条曲线的波峰在X轴的位置不一样这不是画出了的,这是数据决定的,里面的文字可以添加进去!
赞
一下
(1人)
回复此楼
5楼
2013-07-02 15:03:43
已阅
回复此楼
关注TA
给TA发消息
送TA红花
TA的回帖
查看全部 10 个回答
如果回帖内容含有宣传信息,请如实选中。否则帐号将被全论坛禁言
普通表情
龙
兔
虎
猫
百度网盘
|
360云盘
|
千易网盘
|
华为网盘
在新窗口页面中打开自己喜欢的网盘网站,将文件上传后,然后将下载链接复制到帖子内容中就可以了。
信息提示
关闭
请填处理意见
关闭
确定