| 查看: 291 | 回复: 0 | |
心心相印2012金虫 (正式写手)
流浪者
|
[求助]
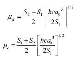
理论计算激发态和基态偶极矩
|
![]() |
|
|
|
|
|
找到一些相关的精华帖子,希望有用哦~
科研从小木虫开始,人人为我,我为人人
|














回复此楼

点击这里搜索更多相关资源