| 查看: 329 | 回复: 2 | |
[求助]
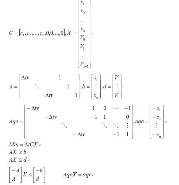
matlab解0-1规划
|
|
|
|
|
hppdyx木虫 (知名作家)
|
|
![]() |
|
|
2楼2013-06-07 21:44:45
|
|
|
3楼2013-06-22 14:33:21
|
|













回复此楼

5