| 查看: 508 | 回复: 0 | ||
[求助]
请问这种形式的积分怎么求?高斯分布
|
|
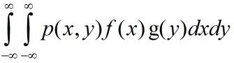
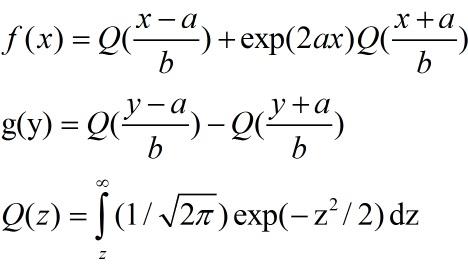
如图所示,p(x,y)是二维高斯概率密度函数,均值协方差已知,miu 和sigma,xy相关。 那么这个积分怎么求呢? 各位大神给个思路吧,不要用matlab什么的,我想要解析解即可 ![]() aaa.jpg bbb.jpg [ Last edited by crysis on 2013-5-23 at 15:11 ] |
» 猜你喜欢
航天502所 高瑛珂博士 婚内征婚 欺骗女性开房
已经有18人回复
宿州学院学报
已经有6人回复
投稿文章被秒拒了
已经有5人回复
地球科学部D01口青年基金,最低几A几B几C才能有几率中呀。
已经有3人回复
招收2026级博士生
已经有6人回复
博士申请
已经有5人回复
找到一些相关的精华帖子,希望有用哦~
请问这个高斯积分公式的高斯系数和高斯点能笔算出来么?
已经有11人回复
【Matlab编程】高斯光束经透镜聚焦,焦点处的三维光场分布
已经有111人回复
求教:若y服从高斯分布,那么y=c*sina+b*sin2a,的第一项与第二项是什么分布?
已经有3人回复
如何用高斯分析分子势能在某个振动模式下的分布
已经有3人回复
请教向量Q满足高斯分布,用matlab如何表示?
已经有11人回复
随机变量的倒数服从高斯分布,该随机变量服从什么分布?它的期望和方差分布式多少?
已经有20人回复
产生高斯分布随机数的原理
已经有3人回复
【sobereva个人文集】乱弹DFT-D(从sobereva的博客中转载过来的)
已经有27人回复
求助高斯分布、对数正态分布及威布尔(weibull)分布模型表达式及采用什么软件
已经有5人回复
洛仑兹线性分布和高斯线性分布有啥不同?
已经有8人回复
【求助】运行高斯03or09的塔式服务器硬盘怎么配置合适呢!
已经有5人回复
【求助】高斯的内存分配方式
已经有4人回复
【求助】高斯分布下,如何计算光强?
已经有7人回复
【求助】怎么用高斯03计算分子的局部电荷分布,怎么绘制局部电荷分布图?
已经有7人回复
【讨论】ansys如何加载高斯分布的热流密度?
已经有13人回复
科研从小木虫开始,人人为我,我为人人












回复此楼
点击这里搜索更多相关资源