| ²é¿´: 1293 | »Ø¸´: 12 | ||
µÆÅÝ3204ľ³æ (ÖøÃûдÊÖ)
|
[ÇóÖú]
½ô¼±ÇóÖú£ºÕâ¸ö¾§ÌåÊý¾Ý»¹Äܽâ³öÀ´Âð£¿
|
|
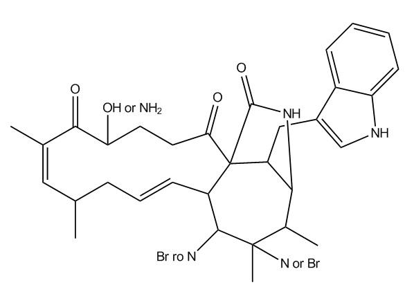
| Õâ¸ö»¯ºÏÎï¾§ÌåÅàÑø³¢ÊÔÁ˶à´Î£¬²âÊÔÀÏʦ¶¼ÈÏΪ¾§ÌåÌ«±¡ÁË£¬Õâ´Î¸øÎÒÊÕÁËÒ»ÏÂÊý¾Ý£¬²»ÊÇÌ«ºÃ£¬ºÜÂÒ£¬ÇëÇóÀÏʦ°ïÖú£¬·Ç³£Ð»Ð»£¡ |
» ±¾Ìû¸½¼þ×ÊÔ´Áбí
-
»¶Ó¼à¶½ºÍ·´À¡£ºÐ¡Ä¾³æ½öÌṩ½»Á÷ƽ̨£¬²»¶Ô¸ÃÄÚÈݸºÔð¡£
±¾ÄÚÈÝÓÉÓû§×ÔÖ÷·¢²¼£¬Èç¹ûÆäÄÚÈÝÉæ¼°µ½ÖªÊ¶²úȨÎÊÌ⣬ÆäÔðÈÎÔÚÓÚÓû§±¾ÈË£¬Èç¶Ô°æÈ¨ÓÐÒìÒ飬ÇëÁªÏµÓÊÏ䣺xiaomuchong@tal.com - ¸½¼þ 1 : YWH130502_JL_B.rar
2013-05-04 18:35:53, 10.87 M
» ²ÂÄãϲ»¶
Î人·ÄÖ¯´óѧ¼¼ÊõÑо¿ÔºÕÐÊÕ»¯Ñ§¡¢ÉúÎï¡¢²ÄÁÏ¡¢·ÄÖ¯¡¢»úеµÈרҵµ÷¼ÁÉú
ÒѾÓÐ0È˻ظ´
̨ÖÝѧԺÓÐÐò¶à¿×²ÄÁÏÍŶӻ¯Ñ§¡¢²ÄÁÏÓ뻯¹¤Ë¶Ê¿ÕÐÉú£¬ÇëËÙÁªÏµ£¡
ÒѾÓÐ0È˻ظ´
ÎÞ»ú»¯Ñ§ÂÛÎÄÈóÉ«/·ÒëÔõôÊÕ·Ñ?
ÒѾÓÐ55È˻ظ´
Ê×¶¼Ê¦·¶´óѧ»¯Ñ§ÏµÌïÑó¿ÎÌâ×éר˶Õе÷¼ÁÉú
ÒѾÓÐ10È˻ظ´
¹ãÖÝ´óѧ´óÍåÇø»·¾³Ñо¿Ôº»·¾³´ó·Ö×Ó²ÄÁÏÑо¿ËùÍõƽɽ½ÌÊÚÍÅ¶Ó 2026ÄêÑо¿ÉúÕÐÉú¼òÕÂ
ÒѾÓÐ0È˻ظ´
Ìì½òÀí¹¤´óѧ
ÒѾÓÐ0È˻ظ´
̨ÖÝѧԺÓÐÐò¶à¿×²ÄÁÏÍŶÓ×îºó³å´Ì£¬Í¬Ñ§ÃDZð´í¹ýŶ£¬ÇëËÙÁªÏµ£¡
ÒѾÓÐ0È˻ظ´
½Î÷¿Æ¼¼Ê¦·¶´óѧÎïÀí»¯Ñ§¿ÎÌâ×é½ÓÊÕµ÷¼ÁÉú£¬Ãû¶î»¹ÓУ¬ËÙÀ´
ÒѾÓÐ0È˻ظ´
» ±¾Ö÷ÌâÏà¹Ø¼ÛÖµÌùÍÆ¼ö£¬¶ÔÄúͬÑùÓаïÖú:
½ô¼±ÇóÖú£¡ÎÒµÄRT-PCRÊý¾ÝÔõô×ö³É¿ÉÒÔ·¢ÎÄÕµÄͼ£¿
ÒѾÓÐ26È˻ظ´
ÇóÖú²éѯ½£Çž§ÌåÊý¾Ý¿â
ÒѾÓÐ7È˻ظ´
XRD·ÛÄ©ÑÜÉäÊý¾Ý½â¾§Ìå½á¹¹µÄÎÄÏ×£¬°üº¬Ïà¹ØÈí¼þµÄʹÓá£
ÒѾÓÐ126È˻ظ´
¡¾ÇóÖú¡¿¾§ÌåÖ»²â³ö²ÎÊý£¬½á¹¹½â²»³öÀ´Ôõô°ì?
ÒѾÓÐ4È˻ظ´
ÇóÖú½âÎö¾§Ìå½á¹¹µÄһЩÊý¾Ýº¬Òå
ÒѾÓÐ2È˻ظ´
¡¾ÇóÖú¡¿ÇëÇó°ïÖú£º²âµÃÒ»¸ö¾§ÌåÊý¾ÝÓÐÕâô¶à´íÎó£¡Ôõô°ì£¿
ÒѾÓÐ4È˻ظ´
¡¾ÇóÖú¡¿ÇóÖúÒ»¸öÒ©ÎïµÄ¾§Ìå½á¹¹Êý¾Ý£¡
ÒѾÓÐ15È˻ظ´
¡¾ÇóÖú¡¿¾§ÌåÊý¾Ý
ÒѾÓÐ5È˻ظ´
¡¾ÇóÖú¡¿¾§Ìå½âÎö
ÒѾÓÐ4È˻ظ´
yytsnake
ÖÁ×ðľ³æ (Ö°Òµ×÷¼Ò)
- Ó¦Öú: 357 (˶ʿ)
- ¹ó±ö: 0.01
- ½ð±Ò: 18204.3
- É¢½ð: 5
- ºì»¨: 36
- Ìû×Ó: 3189
- ÔÚÏß: 444.6Сʱ
- ³æºÅ: 92066
- ×¢²á: 2005-09-08
- ÐÔ±ð: GG
¡¾´ð°¸¡¿Ó¦Öú»ØÌû
¡ï ¡ï ¡ï ¡ï ¡ï ¡ï ¡ï ¡ï ¡ï ¡ï ¡ï ¡ï ¡ï ¡ï ¡ï ¡ï ¡ï ¡ï ¡ï ¡ï ¡ï ¡ï ¡ï ¡ï ¡ï ¡ï ¡ï ¡ï ¡ï ¡ï ¡ï ¡ï ¡ï ¡ï ¡ï ¡ï ¡ï ¡ï ¡ï ¡ï
µÆÅÝ3204: ½ð±Ò+40, ¡ï¡ï¡ï¡ï¡ï×î¼Ñ´ð°¸, ÄúÕæÊÇÌ«À÷º¦ÁË£¬ÎÒ²îµã¶¼¾øÍûÁË£¡ 2013-05-04 19:40:56
µÆÅÝ3204: ½ð±Ò+40, ¡ï¡ï¡ï¡ï¡ï×î¼Ñ´ð°¸, ÄúÕæÊÇÌ«À÷º¦ÁË£¬ÎÒ²îµã¶¼¾øÍûÁË£¡ 2013-05-04 19:40:56
|
¾ßÌå½á¹¹¼û¸½¼þ¡£ |
» ±¾Ìû¸½¼þ×ÊÔ´Áбí
-
»¶Ó¼à¶½ºÍ·´À¡£ºÐ¡Ä¾³æ½öÌṩ½»Á÷ƽ̨£¬²»¶Ô¸ÃÄÚÈݸºÔð¡£
±¾ÄÚÈÝÓÉÓû§×ÔÖ÷·¢²¼£¬Èç¹ûÆäÄÚÈÝÉæ¼°µ½ÖªÊ¶²úȨÎÊÌ⣬ÆäÔðÈÎÔÚÓÚÓû§±¾ÈË£¬Èç¶Ô°æÈ¨ÓÐÒìÒ飬ÇëÁªÏµÓÊÏ䣺xiaomuchong@tal.com - ¸½¼þ 1 : YWH130502_JL_B.rar
2013-05-04 19:36:45, 1.94 M
7Â¥2013-05-04 19:34:46
yytsnake
ÖÁ×ðľ³æ (Ö°Òµ×÷¼Ò)
- Ó¦Öú: 357 (˶ʿ)
- ¹ó±ö: 0.01
- ½ð±Ò: 18204.3
- É¢½ð: 5
- ºì»¨: 36
- Ìû×Ó: 3189
- ÔÚÏß: 444.6Сʱ
- ³æºÅ: 92066
- ×¢²á: 2005-09-08
- ÐÔ±ð: GG
2Â¥2013-05-04 19:04:44
yytsnake
ÖÁ×ðľ³æ (Ö°Òµ×÷¼Ò)
- Ó¦Öú: 357 (˶ʿ)
- ¹ó±ö: 0.01
- ½ð±Ò: 18204.3
- É¢½ð: 5
- ºì»¨: 36
- Ìû×Ó: 3189
- ÔÚÏß: 444.6Сʱ
- ³æºÅ: 92066
- ×¢²á: 2005-09-08
- ÐÔ±ð: GG
3Â¥2013-05-04 19:07:20
yytsnake
ÖÁ×ðľ³æ (Ö°Òµ×÷¼Ò)
- Ó¦Öú: 357 (˶ʿ)
- ¹ó±ö: 0.01
- ½ð±Ò: 18204.3
- É¢½ð: 5
- ºì»¨: 36
- Ìû×Ó: 3189
- ÔÚÏß: 444.6Сʱ
- ³æºÅ: 92066
- ×¢²á: 2005-09-08
- ÐÔ±ð: GG
4Â¥2013-05-04 19:15:23
µÆÅÝ3204
ľ³æ (ÖøÃûдÊÖ)
- Ó¦Öú: 0 (Ó×¶ùÔ°)
- ½ð±Ò: 7926.1
- ºì»¨: 1
- Ìû×Ó: 1693
- ÔÚÏß: 465.2Сʱ
- ³æºÅ: 1124210
- ×¢²á: 2010-10-16
- ÐÔ±ð: GG
- רҵ: ΢ÉúÎïÒ©Îï
5Â¥2013-05-04 19:20:53
yytsnake
ÖÁ×ðľ³æ (Ö°Òµ×÷¼Ò)
- Ó¦Öú: 357 (˶ʿ)
- ¹ó±ö: 0.01
- ½ð±Ò: 18204.3
- É¢½ð: 5
- ºì»¨: 36
- Ìû×Ó: 3189
- ÔÚÏß: 444.6Сʱ
- ³æºÅ: 92066
- ×¢²á: 2005-09-08
- ÐÔ±ð: GG
6Â¥2013-05-04 19:31:45
µÆÅÝ3204
ľ³æ (ÖøÃûдÊÖ)
- Ó¦Öú: 0 (Ó×¶ùÔ°)
- ½ð±Ò: 7926.1
- ºì»¨: 1
- Ìû×Ó: 1693
- ÔÚÏß: 465.2Сʱ
- ³æºÅ: 1124210
- ×¢²á: 2010-10-16
- ÐÔ±ð: GG
- רҵ: ΢ÉúÎïÒ©Îï
8Â¥2013-05-04 19:44:38
yytsnake
ÖÁ×ðľ³æ (Ö°Òµ×÷¼Ò)
- Ó¦Öú: 357 (˶ʿ)
- ¹ó±ö: 0.01
- ½ð±Ò: 18204.3
- É¢½ð: 5
- ºì»¨: 36
- Ìû×Ó: 3189
- ÔÚÏß: 444.6Сʱ
- ³æºÅ: 92066
- ×¢²á: 2005-09-08
- ÐÔ±ð: GG
9Â¥2013-05-04 20:35:58
µÆÅÝ3204
ľ³æ (ÖøÃûдÊÖ)
- Ó¦Öú: 0 (Ó×¶ùÔ°)
- ½ð±Ò: 7926.1
- ºì»¨: 1
- Ìû×Ó: 1693
- ÔÚÏß: 465.2Сʱ
- ³æºÅ: 1124210
- ×¢²á: 2010-10-16
- ÐÔ±ð: GG
- רҵ: ΢ÉúÎïÒ©Îï
10Â¥2013-05-04 20:39:50














»Ø¸´´ËÂ¥