24小时热门版块排行榜    

查看: 597  |  回复: 1

丨抹茶丨

金虫 (小有名气)

[求助] Origin 画图调坐标

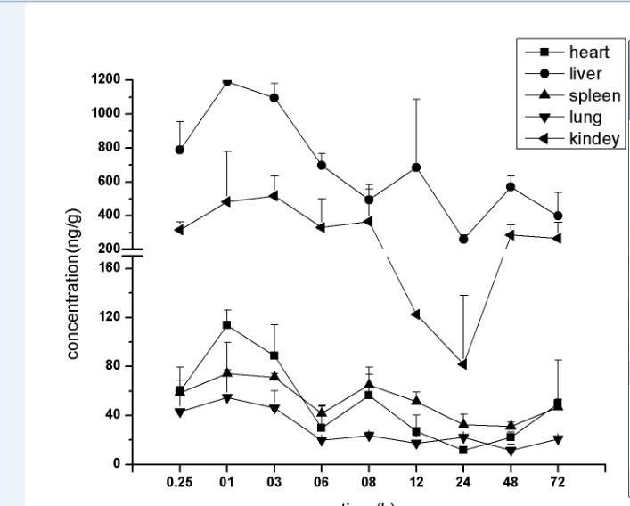
新手,用Origin处理数据,做出的图形是这样的
我想做成下面的
然后要修改的一是打断线把打断线由斜线变成水平的,二是怎么实现打断前后数字都是一样的,我的就是不同的。
求大侠帮帮忙!
回复此楼

» 猜你喜欢

» 本主题相关价值贴推荐,对您同样有帮助:

已阅   回复此楼   关注TA 给TA发消息 送TA红花 TA的回帖

wyq060512

金虫 (著名写手)

【答案】应助回帖

感谢参与,应助指数 +1
双击坐标轴,弹出来的对话框里有个Break选项,自己设置一下就行了。
2楼2013-04-25 20:22:39
已阅   回复此楼   关注TA 给TA发消息 送TA红花 TA的回帖
相关版块跳转 我要订阅楼主 丨抹茶丨 的主题更新
最具人气热帖推荐 [查看全部] 作者 回/看 最后发表
[考研] 332求调剂 +3 ydfyh 2026-03-17 3/150 2026-03-19 10:14 by 功夫疯狂
[教师之家] 焦虑 +9 水冰月月野兔 2026-03-13 13/650 2026-03-19 09:50 by otani
[考研] 0817 化学工程 299分求调剂 有科研经历 有二区文章 +9 rare12345 2026-03-18 9/450 2026-03-19 09:46 by 30660438
[考研] 求材料调剂 +10 隔壁陈先生 2026-03-12 10/500 2026-03-19 09:15 by 无际的草原
[考研] 材料专硕英一数二306 +5 z1z2z3879 2026-03-18 5/250 2026-03-19 07:43 by BruceLiu320
[考研] 材料工程专硕调剂 +5 204818@lcx 2026-03-17 6/300 2026-03-18 22:55 by 204818@lcx
[考研] 085410人工智能专硕317求调剂(0854都可以) +3 xbxudjdn 2026-03-18 3/150 2026-03-18 22:14 by zhq0425
[考研] 一志愿中国海洋大学,生物学,301分,求调剂 +4 1孙悟空 2026-03-17 4/200 2026-03-18 17:59 by fivewind
[考研] 085600材料与化工 +5 安全上岸! 2026-03-16 5/250 2026-03-18 15:33 by cmz0325
[考研] 286求调剂 +6 lemonzzn 2026-03-16 9/450 2026-03-18 15:31 by vgtyfty
[考研] 化学工程321分求调剂 +15 大米饭! 2026-03-15 18/900 2026-03-18 14:52 by haxia
[考研] 311求调剂 +6 26研0 2026-03-15 6/300 2026-03-18 14:43 by haxia
[考研] 0703化学求调剂 总分331 +3 ZY-05 2026-03-13 3/150 2026-03-18 10:58 by macy2011
[考研] 0703化学调剂 +3 妮妮ninicgb 2026-03-17 3/150 2026-03-18 10:29 by macy2011
[考研] 268求调剂 +6 简单点0 2026-03-17 6/300 2026-03-18 09:04 by 无际的草原
[考研] 268求调剂 +8 一定有学上- 2026-03-14 9/450 2026-03-17 17:47 by laoshidan
[考研] 梁成伟老师课题组欢迎你的加入 +8 一鸭鸭哟 2026-03-14 10/500 2026-03-17 15:07 by 一鸭鸭哟
[考研] 085600调剂 +5 漾漾123sun 2026-03-12 6/300 2026-03-16 15:58 by 漾漾123sun
[考研] 297求调剂 +4 学海漂泊 2026-03-13 4/200 2026-03-14 11:51 by 热情沙漠
[考研] 招收0805(材料)调剂 +3 18595523086 2026-03-13 3/150 2026-03-14 00:33 by 123%、
信息提示
请填处理意见