| ²é¿´: 776 | »Ø¸´: 8 | ||
caikaiÒø³æ (ÕýʽдÊÖ)
|
[ÇóÖú]
ÇóÖú-Çë°ïæ¿´¿´ÖÊÆ×½âÎöÊÇ·ñÕýÈ·
|
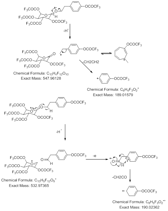
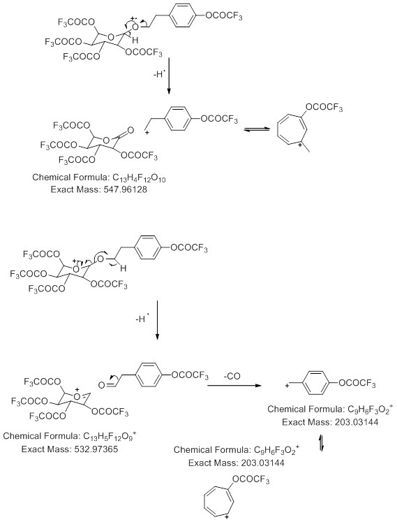
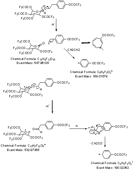
| µÚÒ»¸öΪÖÊÆ×ͼ£¬µÚ¶þ¸öΪ½âÎö²½Öèͼ£¬´ó¼Ò¿´¿´¶Ô²»¶Ô£¬Ö÷ÒªÊÇ217µ½190ÕâÒ»²½£¬È¥µô¸öÒÒÏ©»ù²»Çå³þ¶Ô²»¶Ô£¬»òÕßÓÐÆäËü¸üºÃµÄ½âÎö·½·¨¡£Ð»Ð»¡£ |
» ±¾Ìû¸½¼þ×ÊÔ´Áбí
-
»¶Ó¼à¶½ºÍ·´À¡£ºÐ¡Ä¾³æ½öÌṩ½»Á÷ƽ̨£¬²»¶Ô¸ÃÄÚÈݸºÔð¡£
±¾ÄÚÈÝÓÉÓû§×ÔÖ÷·¢²¼£¬Èç¹ûÆäÄÚÈÝÉæ¼°µ½ÖªÊ¶²úȨÎÊÌ⣬ÆäÔðÈÎÔÚÓÚÓû§±¾ÈË£¬Èç¶Ô°æÈ¨ÓÐÒìÒ飬ÇëÁªÏµÓÊÏ䣺xiaomuchong@tal.com - ¸½¼þ 1 : δÃüÃû1.bmp
- ¸½¼þ 2 : δÃüÃû.bmp
2013-04-03 20:45:44, 769.55 K
2013-04-03 20:46:15, 769.55 K
» ²ÂÄãϲ»¶
µ÷¼ÁÇóÊÕÁô
ÒѾÓÐ7È˻ظ´
317Çóµ÷¼Á
ÒѾÓÐ6È˻ظ´
336²ÄÁÏÇóµ÷¼Á
ÒѾÓÐ9È˻ظ´
341Çóµ÷¼Á
ÒѾÓÐ7È˻ظ´
286Çóµ÷¼Á
ÒѾÓÐ5È˻ظ´
»¯Ñ§308·ÖÇóµ÷¼Á
ÒѾÓÐ5È˻ظ´
0703»¯Ñ§338Çóµ÷¼Á£¡
ÒѾÓÐ6È˻ظ´
Çóµ÷¼ÁÍÆ¼ö ²ÄÁÏ 304
ÒѾÓÐ3È˻ظ´
²ÄÁÏѧ˶333Çóµ÷¼Á
ÒѾÓÐ6È˻ظ´
Ò»Ö¾Ô¸Ö£ÖÝ´óѧ£¬080500ѧ˶£¬×Ü·Ö317·ÖÇóµ÷¼Á
ÒѾÓÐ5È˻ظ´
» ±¾Ö÷ÌâÏà¹Ø¼ÛÖµÌùÍÆ¼ö£¬¶ÔÄúͬÑùÓаïÖú:
ÐÂÊÖ£¬Çó¸ßÊÖ°ïæ¿´¿´Õâ¸öÖÊÆ×ͼ·Ö×ÓÁ¿
ÒѾÓÐ5È˻ظ´
ÓÐûÓÐÖÊÆ×ͼ·ÖÎö¸ßÈ˰ïæ½âÎöÒ»ÏÂÕ⼸¸öGC/MSͼÆ×
ÒѾÓÐ12È˻ظ´
¸÷λ¹ý·µÄ´óÏÀ£¬°ïæ¿´¿´ÎÒµÄÖÊÆ×ͼ£¬¿´¿´ÊDz»ÊÇÎҵϝºÏÎï
ÒѾÓÐ3È˻ظ´
ÇóÖú£ºÀÏÍâÊÖдµÄÐ޸ĸåÓ¢ÎÄÌ«²Ý£¬¿´²»¶®£¬Çë°ïæ¿´¿´
ÒѾÓÐ27È˻ظ´
ÇóÖú ÖÊÆ×ÉñÈ˰ïæ½âÎö LC-MS ͼ
ÒѾÓÐ6È˻ظ´
ÇëÖÊÆ×¸ßÈ˰ïæ½âÎöÖÊÆ×£¬Íò·Ö¸Ðл£¡
ÒѾÓÐ14È˻ظ´
ÇóÖú£¬¸ß·Ö±æÂÊÖÊÆ×ͼ½âÎö
ÒѾÓÐ21È˻ظ´
ºË´Å/ÖÊÆ×½âÆ×¸ßÊÖ°ïæ¿´¿´Õâ¸ö»¯ºÏÎï½á¹¹Ôõô½âÎö
ÒѾÓÐ12È˻ظ´
Ò»¼¶ÖÊÆ×½âÎö£¬ÇóÖú¡£¸÷λ´óÏÀ°ïæ¿´ÏÂѽ£¡£¡£¡
ÒѾÓÐ3È˻ظ´
¡¾ÇóÖú¡¿Çë°ïæ¿´Ò»ÏÂÕâ¸öżºÏ³£ÊýÔõô¼ÆËã
ÒѾÓÐ10È˻ظ´
¡¾ÇóÖú¡¿MALDI-TOF MASSÐÍ»ùÖʸ¨Öú¼¤¹â½âÎöµçÀë·ÉÐÐʱ¼äÖÊÆ×ÇóÖú
ÒѾÓÐ11È˻ظ´
¡¾ÇóÖú¡¿ËÄܰïæ·ÖÎöÒ»ÏÂÎÒµÄÖÊÆ×³öÁËʲôÎÊÌâ
ÒѾÓÐ3È˻ظ´
¡¾ÇóÖú/½»Á÷¡¿Çë°ï濴һϳÈÉ«µÄ¾úÂäÊÇʲô¾ú£¿
ÒѾÓÐ10È˻ظ´
¡¾ÇóÖú¡¿ËÄܰïæ·ÖÎöÒ»ÕŶàëĶþ¼¶ÖÊÆ×ͼ£¬±ØÓÐÖØÐ»£¡
ÒѾÓÐ17È˻ظ´
¡¾ÇóÖú¡¿Çë°ïæ¿´¿´Ð´¸øÍâµ¼µÄÐÅ
ÒѾÓÐ7È˻ظ´
¡¾ÇóÖú¡¿´ó¼Ò°ïæ½â¾öÒ»ÏÂÖÊÆ×ÎÊÌâ
ÒѾÓÐ5È˻ظ´
¡¾ÇóÖú¡¿º¬ÑεÄÁ÷¶¯Ïà¿ÉÒÔ½øÒºÖÊÂ𣿣¨ÖÊÆ×²ËÄñÇë½Ì¸ßÊÖ°ïæ£©
ÒѾÓÐ6È˻ظ´
¡¾ÇóÖú¡¿Çë¸ßÊÖ°ïæ¿´¿´£¬ÅÉËÍ´óºì°ü¡£dmol3 Ä£¿é
ÒѾÓÐ18È˻ظ´

lzjessie_wlf
½ð³æ (СÓÐÃûÆø)
- ACI: 16
- Ó¦Öú: 85 (³õÖÐÉú)
- ½ð±Ò: 1007.2
- ºì»¨: 9
- Ìû×Ó: 290
- ÔÚÏß: 108.7Сʱ
- ³æºÅ: 1607967
- ×¢²á: 2012-02-09
2Â¥2013-04-05 23:16:53
lzjessie_wlf
½ð³æ (СÓÐÃûÆø)
- ACI: 16
- Ó¦Öú: 85 (³õÖÐÉú)
- ½ð±Ò: 1007.2
- ºì»¨: 9
- Ìû×Ó: 290
- ÔÚÏß: 108.7Сʱ
- ³æºÅ: 1607967
- ×¢²á: 2012-02-09
3Â¥2013-04-05 23:18:47
caikai
Òø³æ (ÕýʽдÊÖ)
- Ó¦Öú: 38 (СѧÉú)
- ½ð±Ò: 1102.9
- É¢½ð: 375
- ºì»¨: 7
- ɳ·¢: 1
- Ìû×Ó: 643
- ÔÚÏß: 996.8Сʱ
- ³æºÅ: 716182
- ×¢²á: 2009-03-06
- ÐÔ±ð: GG
- רҵ: ·ÖÎö»¯Ñ§

4Â¥2013-04-06 10:22:22
wx345wnwn
гæ (СÓÐÃûÆø)
- Ó¦Öú: 6 (Ó×¶ùÔ°)
- ½ð±Ò: 649.4
- É¢½ð: 18
- ºì»¨: 7
- Ìû×Ó: 223
- ÔÚÏß: 77.7Сʱ
- ³æºÅ: 1565435
- ×¢²á: 2012-01-05
- רҵ: ×÷ÎïÔÔÅàÓë¸û×÷ѧ
5Â¥2013-04-06 12:07:31
caikai
Òø³æ (ÕýʽдÊÖ)
- Ó¦Öú: 38 (СѧÉú)
- ½ð±Ò: 1102.9
- É¢½ð: 375
- ºì»¨: 7
- ɳ·¢: 1
- Ìû×Ó: 643
- ÔÚÏß: 996.8Сʱ
- ³æºÅ: 716182
- ×¢²á: 2009-03-06
- ÐÔ±ð: GG
- רҵ: ·ÖÎö»¯Ñ§

6Â¥2013-04-06 13:18:31
°®lingling
ľ³æ (ÖøÃûдÊÖ)
- Ó¦Öú: 288 (´óѧÉú)
- ½ð±Ò: 1742.6
- ºì»¨: 6
- Ìû×Ó: 2216
- ÔÚÏß: 296.8Сʱ
- ³æºÅ: 1182025
- ×¢²á: 2011-01-02
- ÐÔ±ð: GG
- רҵ: ´ß»¯»¯Ñ§
¡¾´ð°¸¡¿Ó¦Öú»ØÌû
¡ï ¡ï ¡ï ¡ï ¡ï ¡ï ¡ï ¡ï ¡ï ¡ï ¡ï ¡ï ¡ï ¡ï ¡ï ¡ï ¡ï ¡ï ¡ï ¡ï ¡ï ¡ï ¡ï ¡ï ¡ï ¡ï ¡ï ¡ï ¡ï ¡ï
caikai: ½ð±Ò+30, ¡ï¡ï¡ïºÜÓаïÖú, лл£¬¿´ÁËһЩͦÓаïÖúµÄ¡£ 2013-04-07 16:59:49
caikai: ½ð±Ò+30, ¡ï¡ï¡ïºÜÓаïÖú, лл£¬¿´ÁËһЩͦÓаïÖúµÄ¡£ 2013-04-07 16:59:49
Â¥Ö÷¿´¿´ÎÒÕâ¸ö·¾¶ÊDz»ÊǺÏÊÊ |
» ±¾Ìû¸½¼þ×ÊÔ´Áбí
-
»¶Ó¼à¶½ºÍ·´À¡£ºÐ¡Ä¾³æ½öÌṩ½»Á÷ƽ̨£¬²»¶Ô¸ÃÄÚÈݸºÔð¡£
±¾ÄÚÈÝÓÉÓû§×ÔÖ÷·¢²¼£¬Èç¹ûÆäÄÚÈÝÉæ¼°µ½ÖªÊ¶²úȨÎÊÌ⣬ÆäÔðÈÎÔÚÓÚÓû§±¾ÈË£¬Èç¶Ô°æÈ¨ÓÐÒìÒ飬ÇëÁªÏµÓÊÏ䣺xiaomuchong@tal.com - ¸½¼þ 1 : 1.tif
2013-04-07 16:38:11, 146.85 K
7Â¥2013-04-07 16:38:13
lzjessie_wlf
½ð³æ (СÓÐÃûÆø)
- ACI: 16
- Ó¦Öú: 85 (³õÖÐÉú)
- ½ð±Ò: 1007.2
- ºì»¨: 9
- Ìû×Ó: 290
- ÔÚÏß: 108.7Сʱ
- ³æºÅ: 1607967
- ×¢²á: 2012-02-09
8Â¥2013-04-09 03:07:05
lzjessie_wlf
½ð³æ (СÓÐÃûÆø)
- ACI: 16
- Ó¦Öú: 85 (³õÖÐÉú)
- ½ð±Ò: 1007.2
- ºì»¨: 9
- Ìû×Ó: 290
- ÔÚÏß: 108.7Сʱ
- ³æºÅ: 1607967
- ×¢²á: 2012-02-09
9Â¥2013-04-09 03:10:43














»Ø¸´´ËÂ¥