版块导航
正在加载中...
客户端APP下载
论文辅导
申博辅导
登录
注册
帖子
帖子
用户
本版
应《网络安全法》要求,自2017年10月1日起,未进行实名认证将不得使用互联网跟帖服务。为保障您的帐号能够正常使用,请尽快对帐号进行手机号验证,感谢您的理解与支持!
24小时热门版块排行榜
>
论坛更新日志
(2911)
>
虫友互识
(415)
>
导师招生
(141)
>
文献求助
(128)
>
硕博家园
(77)
>
休闲灌水
(74)
>
博后之家
(30)
>
考博
(30)
>
论文投稿
(26)
>
基金申请
(24)
>
公派出国
(20)
>
找工作
(19)
>
教师之家
(18)
>
考研
(18)
>
论文道贺祈福
(15)
>
标准与专利
(15)
小木虫论坛-学术科研互动平台
»
专业学科区
»
物理
»
原子、分子&光学
»
哪位高手能指导一下这幅图片的物理意义?
10
1/1
返回列表
查看: 1656 | 回复: 9
只看楼主
@他人
存档
新回复提醒
(忽略)
收藏
在APP中查看
zhangyujin
铜虫
(正式写手)
应助: 1
(幼儿园)
金币: 2513.7
帖子: 305
在线: 206.7小时
虫号: 1405590
[交流]
哪位高手能指导一下这幅图片的物理意义?
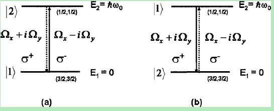
如图所示,第一个问题是:能级下面的(1/2,1/2)代表什么意思?原子物理好像学过但是都忘了,也没查到。第二个问题:问什么左旋偏振光和右旋偏振光能激发不同的跃迁,有的能量升高,有的能量降低呢?平时不是只要电子被激发上去就能够自己落到低能级上吗,还需要左旋偏振光来激发?
图片的说明是这样的:左图低能级到高能级的跃迁由左旋偏振光激发,相反的过程由右旋激发。
LQLJ%DR3D~O[C1[~_]LH4LR.jpg
还有为什么(3/2,3/2)对应的能级要比(1/2,1/2)对应的能级能量要低呢?
[
Last edited by zhangyujin on 2013-3-12 at 10:14
]
回复此楼
» 收录本帖的淘帖专辑推荐
偏振
» 猜你喜欢
有院领导为了换新车,用横向课题经费买了俩车
已经有8人回复
博士延得我,科研能力直往上蹿
已经有8人回复
酰胺脱乙酰基
已经有12人回复
同年申请2项不同项目,第1个项目里不写第2个项目的信息,可以吗
已经有4人回复
有时候真觉得大城市人没有县城人甚至个体户幸福
已经有10人回复
天津大学招2026.09的博士生,欢迎大家推荐交流(博导是本人)
已经有5人回复
CSC & MSCA 博洛尼亚大学能源材料课题组博士/博士后招生|MSCA经费充足、排名优
已经有6人回复
面上项目申报
已经有3人回复
遇见不省心的家人很难过
已经有22人回复
高级回复
» 本主题相关价值贴推荐,对您同样有帮助:
界面结构是否需要计算能带结构,是否有物理意义?
已经有33人回复
【求助】高中生求教 请各位看一下我的课题有没有意义
已经有11人回复
关于图像熵的物理意义和应用
已经有10人回复
激活能的定义是什么?有什么物理意义?
已经有9人回复
学过光纤通信的童鞋,讨论一下归一化频率的物理意义如何?
已经有23人回复
求助解释下Koutecky-Levich方程中的电流都有什么物理意义~小弟最近一直不解
已经有3人回复
费米能级在半导体物理中的概念和意义
已经有26人回复
傅立叶变换的物理意义
已经有9人回复
请问极化率(Polarizability)的大小能解释什么物理意义?
已经有15人回复
【求助】请教MeshCutOff,PAO.EnergyShift和KgridCutoff等具体物理意义和取值依据
已经有6人回复
这种图 I 形状的东东 他的物理意义是什么?
已经有4人回复
【求助】费米能级的概念、用途或其意义?
已经有12人回复
【求助】有关波函数复数表达式的物理意义?
已经有15人回复
【求助】形成能和结合能的物理意义
已经有6人回复
【原创】分子的静电势的物理意义与图形表达
已经有408人回复
» 抢金币啦!回帖就可以得到:
查看全部散金贴
坐标广州,征女友
+
2
/132
Postdoctoral Research Fellow Position in Causal Inference Weill CorneIl Medicine
+
1
/92
哈工大医康学院材料模拟计算方向人才招聘
+
1
/88
黄汉民团队联合淮北师范大学招聘师资博士后(年薪30-40万)
+
1
/83
中国海洋大学与中国水产科学研究院 联合培养 专硕 食品加工与安全
+
1
/74
上海交通大学大气环境科学课题组招收2026年入学博士生
+
1
/39
上海交大药学院侯四化课题组招收2名2026年秋季入学申请-考核制博士生
+
1
/34
西安交通大学前沿院/机械学院招收2026级硕博研究生!
+
1
/29
西交利物浦大学招收26年【全奖】博士生1名(空间智能沉浸式手术导航)
+
1
/28
深圳大学信息功能电子材料方向“申请-考核制”博士生招生
+
2
/24
招收中国CSC或学校资助联培博士生/访问学生-- Tsinghua-A*STAR 2025 Joint Funding
+
1
/9
考博求助
+
1
/6
国家“双一流”建设高校-南京林业大学-国家级青年人才团队招聘 2026级博士研究生
+
1
/4
华南师范大学(211)- 光电科学与工程学院 - 申请审核制(2026年4-5月份面试考核)
+
2
/4
2026年博士申请考核+福州大学+管理科学与工程
+
1
/3
江汉大学轩亮教授课题组招博士研究生/博士后
+
1
/3
推荐一款可以AI辅助写作的Latex编辑器SmartLatexEditor,超级好用,AI润色,全免费
+
1
/2
哈工大(深圳)物理招收2026年9月入学博士生1个名额
+
1
/2
求资源
+
1
/1
博士招生-(美)俄克拉荷马大学-能源材料课题组招2名博士生-2026秋季
+
1
/1
1楼
2013-03-10 20:32:44
已阅
回复此楼
关注TA
给TA发消息
送TA红花
TA的回帖
匿名
用户注销
(职业作家)
应助: 549
(博士)
贵宾: 0.23
金币: 2859.9
帖子: 3355
在线: 1328.3小时
虫号: 0
本帖仅楼主可见
赞
一下
2楼
2013-03-10 20:59:39
已阅
申请物理EPI
回复此楼
编辑
查看我的主页
zhangyujin
铜虫
(正式写手)
应助: 1
(幼儿园)
金币: 2513.7
帖子: 305
在线: 206.7小时
虫号: 1405590
引用回帖:
2楼
:
Originally posted by
fbqrdzs
at 2013-03-10 20:59:39
这个1/2 值得使电子自选的取向,能级跃迁的时候 n,l,j 需要满足选择定则。
那这么说的话,3/2也是自旋取向?自旋取不到这个值吧
赞
一下
回复此楼
3楼
2013-03-10 21:02:03
已阅
回复此楼
关注TA
给TA发消息
送TA红花
TA的回帖
匿名
用户注销
(职业作家)
应助: 549
(博士)
贵宾: 0.23
金币: 2859.9
帖子: 3355
在线: 1328.3小时
虫号: 0
★
小木虫: 金币+0.5, 给个红包,谢谢回帖
本帖仅楼主可见
赞
一下
4楼
2013-03-11 09:19:22
已阅
申请物理EPI
回复此楼
编辑
查看我的主页
94368373
木虫
(小有名气)
应助: 10
(幼儿园)
金币: 2334.2
帖子: 231
在线: 122.6小时
虫号: 519200
★
小木虫: 金币+0.5, 给个红包,谢谢回帖
1、1/2和3/2是指总角动量J
2、左旋偏振光在传播方向对应着-1的角动量,右旋对应着+1的角动量
3、跃迁满足角动量守恒
如 1/2+(右旋+1)=3/2
3/2+(左旋-1)=1/2
赞
一下
回复此楼
5楼
2013-03-11 11:36:52
已阅
回复此楼
关注TA
给TA发消息
送TA红花
TA的回帖
zhangyujin
铜虫
(正式写手)
应助: 1
(幼儿园)
金币: 2513.7
帖子: 305
在线: 206.7小时
虫号: 1405590
引用回帖:
5楼
:
Originally posted by
94368373
at 2013-03-11 11:36:52
1、1/2和3/2是指总角动量J
2、左旋偏振光在传播方向对应着-1的角动量,右旋对应着+1的角动量
3、跃迁满足角动量守恒
如 1/2+(右旋+1)=3/2
3/2+(左旋-1)=1/2
每个能级下面的括号里面不是有两个值吗,(1/2,1/2)这两个数字都是总角动量?之前没见过这种表示能级的方式啊,所以还是不明白,我只知道跟角动量和自旋有关系,但是不知道究竟什么关系。左旋光的自旋是整数-1、+1,轨道角动量怎么确定呢?J=L+S不是吗,怎么能直接得出左旋偏振光在传播方向对应着-1的角动量,右旋对应着+1的角动量的结论?
赞
一下
回复此楼
6楼
2013-03-11 15:04:48
已阅
回复此楼
关注TA
给TA发消息
送TA红花
TA的回帖
hf6391964
铁杆木虫
(知名作家)
应助: 19
(小学生)
金币: 6928.2
帖子: 5764
在线: 821.2小时
虫号: 203796
★
小木虫: 金币+0.5, 给个红包,谢谢回帖
(1/2,1/2) 是jj耦合的表示方式
赞
一下
回复此楼
7楼
2013-03-11 15:16:45
已阅
回复此楼
关注TA
给TA发消息
送TA红花
TA的回帖
94368373
木虫
(小有名气)
应助: 10
(幼儿园)
金币: 2334.2
帖子: 231
在线: 122.6小时
虫号: 519200
★
小木虫: 金币+0.5, 给个红包,谢谢回帖
引用回帖:
6楼
:
Originally posted by
zhangyujin
at 2013-03-11 15:04:48
每个能级下面的括号里面不是有两个值吗,(1/2,1/2)这两个数字都是总角动量?之前没见过这种表示能级的方式啊,所以还是不明白,我只知道跟角动量和自旋有关系,但是不知道究竟什么关系。左旋光的自旋是整数-1、+ ...
光子的总角动量是自旋角动量和轨道角动量耦合而成,但是在光子的传播方向上的投影只能为+1,-1(圆偏振)和0线偏振
+1和-1通常也称为光子的螺旋度
赞
一下
回复此楼
8楼
2013-03-11 17:39:06
已阅
回复此楼
关注TA
给TA发消息
送TA红花
TA的回帖
zhangyujin
铜虫
(正式写手)
应助: 1
(幼儿园)
金币: 2513.7
帖子: 305
在线: 206.7小时
虫号: 1405590
夕阳西下: 理论计算所得
2013-03-12 10:42:30
引用回帖:
7楼
:
Originally posted by
hf6391964
at 2013-03-11 15:16:45
(1/2,1/2) 是jj耦合的表示方式
为什么(1/2,1/2)对应的能级反而低于(3/2,3/2)的能级呢?
赞
一下
回复此楼
9楼
2013-03-11 19:58:23
已阅
回复此楼
关注TA
给TA发消息
送TA红花
TA的回帖
简单回复
625739323
10楼
2013-03-11 21:16
回复
相关版块跳转
数理科学综合
机械
物理
数学
农林
食品
地学
能源
信息科学
土木建筑
航空航天
转基因
我要订阅楼主
zhangyujin
的主题更新
10
1/1
返回列表
如果回帖内容含有宣传信息,请如实选中。否则帐号将被全论坛禁言
普通表情
龙
兔
虎
猫
高级回复
(可上传附件)
百度网盘
|
360云盘
|
千易网盘
|
华为网盘
在新窗口页面中打开自己喜欢的网盘网站,将文件上传后,然后将下载链接复制到帖子内容中就可以了。
信息提示
关闭
请填处理意见
关闭
确定