|
|
[求助]
求救!!朋友们能不能帮我看看这个udf有没有错误啊~~
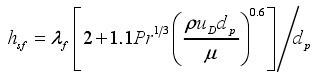
我用的ansys fluent 14.0,自定义了一个换热系数,计算公式是下面那个公式,我编的udf是这样的,上面那部分是换热系数的,下面那部分是流体粘度的:
#include "udf.h"
#include "mem.h"
#define dp 0.02
#define cp 1561.70
#define y1 0.33
#define y2 0.60
DEFINE_PROFILE(heat_coe,t,i)
{
cell_t c;
real Pr;
real Re;
real x1,x2;
begin_c_loop(c,t)
{
Pr=C_MU_L(c,t)*cp/C_K_L(c,t);
Re=C_R(c,t)*C_V(c,t)*dp/C_MU_L(c,t);
x1=Pr;
x2=Re;
F_PROFILE(c,t,i)=
C_K_L(c,t)*(2.0+1.1*pow(x1,y1)*pow(x2,y2))/dp;
}
end_c_loop(c,t)
}
#include "udf.h"
DEFINE_PROPERTY(cell_viscosity,c,t)
{
real mu;
real tempr=C_T(c,t);
mu=exp((0-4.343)-2.0143*(log(tempr-273.15)-5.011));
return mu;
}
不知道有没有错误呢?因为导进fluent算的时候老是算若干步后就出现错误,就是什么divergence detected in AMG solver:temperature。初始化的时候也有错误。但是如果我把这个换热系数设置为常数而不是我这个udf就不会有报错,所以我想请各位朋友帮我看看我这个udf哪里出了错啊??
我是fluent新手,对udf更是生疏,虽然很简单的一个udf,对于我来说确实不知道错误在哪了啊~~跪求各位帮帮我吧~~~小女子感激不尽啊 ~~~
![]()
未命名4.jpg |
|