| 查看: 359 | 回复: 0 | ||
[求助]
求助各位了——得出解析解MATLAB程序怎么编写
|
|
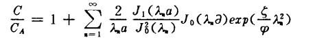
理论计算得出解析解,但是不知道怎么用MATLAB实现啊。求各位帮帮忙吧。这给我郁闷的都一个月了,好不容易算出来的呀,无法实现理论与实验的结合了。好心人给个程序吧,看了半天书也编不出来啊,下面的是解出来的解析解,其中J为Bessel函数 未命名.jpg [ Last edited by ljchou1985 on 2013-2-27 at 16:04 ] |
» 猜你喜欢
299求调剂
已经有8人回复
一志愿北京理工大学本科211材料工程294求调剂
已经有6人回复
300求调剂,材料科学英一数二
已经有8人回复
招收生物学/细胞生物学调剂
已经有5人回复
070305高分子化学与物理 304分求调剂
已经有7人回复
289求调剂
已经有13人回复
一志愿哈尔滨工业大学材料与化工方向336分
已经有9人回复
081200-11408-276学硕求调剂
已经有6人回复
调剂求院校招收
已经有5人回复
调剂310
已经有8人回复
找到一些相关的精华帖子,希望有用哦~
求助 MATLAB解方程组-fslove
已经有7人回复
求助Matlab解方程问题
已经有6人回复
求助matlab编程
已经有13人回复
【求助】matlab求解一个简单的积分(急!!!)
已经有7人回复
【求助】向各位大侠求助matlab求解微分方程组遇到的一个问题
已经有21人回复
【求助】积分微分方程matlab求解
已经有6人回复
【求助】matlab怎么求解偏微分方程组啊,先谢谢了
已经有13人回复
【求助】使用MATLAB怎么实现拟合力场参数的程序?【已解决】
已经有15人回复
【求助】 求MAtlab求解程序!!!
已经有20人回复
科研从小木虫开始,人人为我,我为人人














回复此楼
点击这里搜索更多相关资源