| ²é¿´: 848 | »Ø¸´: 5 | ||
snowshowÌú³æ (СÓÐÃûÆø)
|
[ÇóÖú]
¹â×Ó¾§Ìå ģʽ
|
|
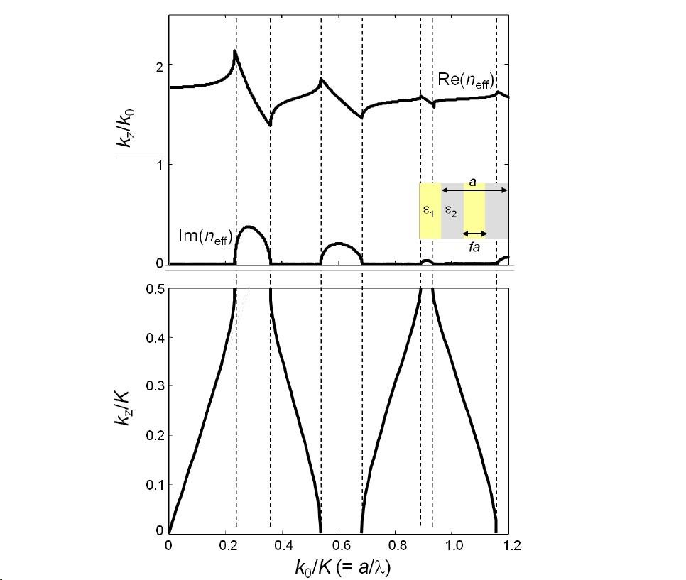
ÇóÖú 1. ͼƬ1ÖÐ ÖмäÊÇGAP ÎÒÏëÖªµÀÎÊʲôÅÔ±ßÓÐÈý¸öС·å£¬ÒâÒåÊÇʲô 2 ͼƬ2 Äܰïæ½âÊÍÏ塃 ÐÂÊֺöà֪ʶ²»¶® ¡£¡£¡£ 1.jpg 2.jpg |
» ²ÂÄãϲ»¶
Ò»Ö¾Ô¸»ªÖпƼ¼´óѧ071000£¬Çóµ÷¼Á
ÒѾÓÐ3È˻ظ´
279·ÖÇóµ÷¼Á Ò»Ö¾Ô¸211
ÒѾÓÐ14È˻ظ´
332Çóµ÷¼Á
ÒѾÓÐ3È˻ظ´
0856²ÄÁÏר˶353Çóµ÷¼Á
ÒѾÓÐ3È˻ظ´
²ÄÁÏѧѧ˶080502 337Çóµ÷¼Á-Ò»Ö¾Ô¸»ªÖпƼ¼´óѧ
ÒѾÓÐ5È˻ظ´
085601µ÷¼Á 358·Ö
ÒѾÓÐ4È˻ظ´
0856 271Çóµ÷¼Á
ÒѾÓÐ3È˻ظ´
ÄÜÔ´²ÄÁÏ»¯Ñ§¿ÎÌâ×éÕÐÊÕ˶ʿÑо¿Éú8-10Ãû
ÒѾÓÐ15È˻ظ´
Ò»Ö¾Ô¸Î÷°²½»Í¨´óѧ²ÄÁϹ¤³Ìרҵ 282·ÖÇóµ÷¼Á
ÒѾÓÐ9È˻ظ´
Ò»Ö¾Ô¸ÖØÇì´óѧ085700×ÊÔ´Óë»·¾³×Ü·Ö308Çóµ÷¼Á
ÒѾÓÐ6È˻ظ´
» ±¾Ö÷ÌâÏà¹Ø¼ÛÖµÌùÍÆ¼ö£¬¶ÔÄúͬÑùÓаïÖú:
Óйعâ×Ó¾§ÌåÄ£ÄâÈí¼þ ÇóÖú
ÒѾÓÐ41È˻ظ´
Çë½ÌÓùâ×Ó¾§Ìå¹âÏ˲úÉú°×¹â³¬Á¬ÐøÆ×µÄ¼¼ÊõÎÊÌâ
ÒѾÓÐ7È˻ظ´
³õѧÕß·ÂÁËÒ»¸öһά¹â×Ó¾§Ì壬һֱÓдíÎó£¬Çë´óÉñÃǰïæ½âÊÍÒ»ÏÂ
ÒѾÓÐ4È˻ظ´
Çó ÄÄÓÐÑо¿ ¹â×Ó¾§Ìå¹âÏË ÌØÖÖ¹âÏË µÄÍŶӣ¿£¿
ÒѾÓÐ6È˻ظ´
Çë½Ì¸ßÊÖ ¾§ÌåÊÇ·ñͬ¹¹
ÒѾÓÐ6È˻ظ´
RsoftµÄbandsolve¼ÆËã´øÏ¶Ð͹â×Ó¾§Ìå¹âÏË´øÏ¶£¬Çó´óÅ£
ÒѾÓÐ13È˻ظ´
comsol½á¹¹Ä£¿é¼¸¸öС°¸Àý
ÒѾÓÐ81È˻ظ´
¹ØÓÚÀÂüµÄÕñ¶¯Ä£Ê½Óë¾§Ìå½á¹¹·ÖÎöÖ®¼äµÄ¹ØÏµ
ÒѾÓÐ6È˻ظ´
¹â×Ó¾§ÌåµÄ¹âÆ×ÓÃ×ÏÍâ¿É¼û¹âÆ×ÒÇÔõô²âÁ¿°¡£¬ÇóÖªµÀ
ÒѾÓÐ4È˻ظ´
Çóɫɢ Óë ËðºÄ
ÒѾÓÐ6È˻ظ´
¹ØÓÚ¹â×Ó¾§ÌåÖйâ×Ó½û´øÓëÓÐЧÕÛÉäÂʵĹØÏµ¡£
ÒѾÓÐ10È˻ظ´
¡¾¸ßÇå°æ¡¿Á½±¾´ÓÊ¡¶¹â×Ó¾§Ì塷ѧϰºÍÑо¿µÄ±Ø±¸½Ì³Ì
ÒѾÓÐ462È˻ظ´
¸ø·Ö£º¹â×Ó¾§ÌåÇó¿ÆÆÕ
ÒѾÓÐ14È˻ظ´
Éó¸åÈËÎÊÎÒ¹ØÓÚģʽµÄÓÐЧÕÛÉäÂÊÎÊÌ⣬ÇëÊìϤ¹â×Ó¾§ÌåµÄͬѧ°ï¿´¿´
ÒѾÓÐ10È˻ظ´
ÓÃÁ£¾¶Ô¼1΢Ã×µÄPS΢Çò×ö¹â×Ó¾§ÌåÓÐʲôºÃ·½·¨
ÒѾÓÐ21È˻ظ´
¹â×Ó¾§ÌåµÄÍêÈ«¹â×Ó½û´øÓë½éµç³£Êý
ÒѾÓÐ11È˻ظ´
¡¾ÇóÖú¡¿Çó¶®¹â×Ó¾§ÌåµÄ½â´ð
ÒѾÓÐ4È˻ظ´
ÇóÖú ¹ØÓÚ¹â×Ó¾§ÌåÖÆ±¸
ÒѾÓÐ6È˻ظ´
luhai123
ÖÁ×ðľ³æ (ÖøÃûдÊÖ)
- Ó¦Öú: 10 (Ó×¶ùÔ°)
- ½ð±Ò: 15638.4
- ºì»¨: 1
- Ìû×Ó: 1148
- ÔÚÏß: 234.6Сʱ
- ³æºÅ: 191596
- ×¢²á: 2006-02-20
- רҵ: ¹âѧ

2Â¥2012-12-06 18:28:07
dgzhao
½ð³æ (СÓÐÃûÆø)
- Ó¦Öú: 44 (СѧÉú)
- ½ð±Ò: 937.9
- ºì»¨: 4
- Ìû×Ó: 146
- ÔÚÏß: 68.7Сʱ
- ³æºÅ: 2064349
- ×¢²á: 2012-10-16
- ÐÔ±ð: GG
- רҵ: Éùѧ
¡¾´ð°¸¡¿Ó¦Öú»ØÌû
¡ï ¡ï ¡ï
¸Ðл²ÎÓ룬ӦÖúÖ¸Êý +1
»ªÀöµÄÆ®¹ý: ½ð±Ò+3, 3q 2012-12-10 08:07:17
¸Ðл²ÎÓ룬ӦÖúÖ¸Êý +1
»ªÀöµÄÆ®¹ý: ½ð±Ò+3, 3q 2012-12-10 08:07:17
| Èç¹ûû¼Ç´íµÄ»°£¬Ð¡·åµÄ¸öÊýÊÇÖÜÆÚÊý¼õÒ»£¬¿ÉÒÔÀí½âΪ¸ÉÉæÀïÃæµÄ´Î¼¶´ó¡£ |

3Â¥2012-12-06 18:45:42
snowshow
Ìú³æ (СÓÐÃûÆø)
- Ó¦Öú: 0 (Ó×¶ùÔ°)
- ½ð±Ò: 32.8
- É¢½ð: 10
- ºì»¨: 1
- Ìû×Ó: 79
- ÔÚÏß: 159.6Сʱ
- ³æºÅ: 1352438
- ×¢²á: 2011-07-21
- רҵ: °ëµ¼Ìå¹âµç×ÓÆ÷¼þ
4Â¥2012-12-07 16:20:00
snowshow
Ìú³æ (СÓÐÃûÆø)
- Ó¦Öú: 0 (Ó×¶ùÔ°)
- ½ð±Ò: 32.8
- É¢½ð: 10
- ºì»¨: 1
- Ìû×Ó: 79
- ÔÚÏß: 159.6Сʱ
- ³æºÅ: 1352438
- ×¢²á: 2011-07-21
- רҵ: °ëµ¼Ìå¹âµç×ÓÆ÷¼þ
5Â¥2012-12-07 16:20:15
dgzhao
½ð³æ (СÓÐÃûÆø)
- Ó¦Öú: 44 (СѧÉú)
- ½ð±Ò: 937.9
- ºì»¨: 4
- Ìû×Ó: 146
- ÔÚÏß: 68.7Сʱ
- ³æºÅ: 2064349
- ×¢²á: 2012-10-16
- ÐÔ±ð: GG
- רҵ: Éùѧ
¡¾´ð°¸¡¿Ó¦Öú»ØÌû
|
µÚ¶þ¸öͼaÊǽ²µÄÓÐЧÕÛÉäÂʵÄʵ²¿ÓëÐ鲿µÄ·Ö²¼£¬Õâ¸öÓÐЧÕÛÉäÂÊÓ¦¸ÃÊǸù¾ÝÖÜÆÚÐÔ¹â×Ó¾§ÌåµÄ²¼ÂåºÕ²¨Ê¸Ëã³öÀ´µÄÒ»¸öµÈЧֵ¡£Í¼bÊÇ´ø½á¹¹°É£¬ÏÔÈ»ÔÚÓÐЧÕÛÉäÂÊÐ鲿²»ÎªÁãµÄʱºò£¬³öÏÖ½û´ø¡£ Õâ¸öºÜÈÝÒ×½âÊÍ£ºÆ½Ã沨µÄ±í´ïʽÊÇAexp£¨ikx£©£¬µ±k´æÔÚÐ鲿µÄʱºò£¬Ö¸Êýº¯Êý¾Í±ä³Éexp£¨-ax£©£¬aÊÇijһ¸öÕýÊý£¬ÏÔÈ»Õâ¸öº¯ÊýÊÇË¥¼õµÄ£¬Ëæ×ÅxÔö¼Ó£¬Ë¥¼õºÜ¿ì½µÎªÁ㣬ÄÇôҲ¾ÍÊÇ˵ȫ¶¼Ë¥¼õÍêÁË£¬²¨ÎÞ·¨Í¸¹ýÈ¥£¬ÓÚÊDZãÐγɽû´ø¡£ |

6Â¥2012-12-07 17:33:18













»Ø¸´´ËÂ¥
10