| 查看: 1187 | 回复: 12 | ||
Jeydragon木虫 (正式写手)
|
[求助]
2010高数的一个选择题
|
|
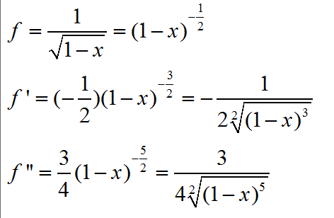
或许以后有用 |
» 猜你喜欢
材料与化工考研调剂
已经有13人回复
一志愿211院校 344分 东北农业大学生物学学硕,求调剂
已经有5人回复
一志愿北京化工大学材料与化工 264分各科过A区国家线
已经有7人回复
275求调剂
已经有12人回复
材料与化工085600,总分304,本科有两篇sci参与,求调剂
已经有7人回复
0856材料化工调剂 总分330
已经有4人回复
308求调剂
已经有6人回复
一志愿陕师大生物学071000,298分,求调剂
已经有5人回复
0856材料专硕353求调剂
已经有8人回复
南昌大学材料专硕311分求调剂
已经有9人回复
» 本主题相关价值贴推荐,对您同样有帮助:
前辈高手告诉你考研数学笔记该怎么做才好?
已经有14人回复
【讨论】谁能推荐几本好的考研复习资料
已经有12人回复
【原创】【原创】考研用什么辅导书好及部分心得
已经有7人回复
【分享】经典考研书籍分析(考研学子必须得面临的问题)
已经有19人回复
【转载】你所不知道的考场真相,假如你是第一次考研的话
已经有62人回复
【转载】考研高分密码
已经有91人回复

itachi32167
金虫 (小有名气)
- 应助: 20 (小学生)
- 金币: 752.5
- 帖子: 171
- 在线: 34.4小时
- 虫号: 1603272
- 注册: 2012-02-07
- 性别: GG
- 专业: 工程热物理相关交叉领域
4楼2012-11-25 17:14:09
转基因小木虫
铁杆木虫 (著名写手)
- 应助: 3 (幼儿园)
- 金币: 6825.7
- 散金: 2030
- 红花: 1
- 帖子: 1082
- 在线: 297.2小时
- 虫号: 1077638
- 注册: 2010-08-19
- 专业: 应用地球物理学

2楼2012-11-25 13:38:26
Jeydragon
木虫 (正式写手)
- 应助: 5 (幼儿园)
- 金币: 4611.2
- 散金: 268
- 红花: 11
- 帖子: 993
- 在线: 229.6小时
- 虫号: 966560
- 注册: 2010-03-10
- 专业: 大地测量学

3楼2012-11-25 13:45:51
xuyx_78
金虫 (小有名气)
- 应助: 39 (小学生)
- 金币: 1714.5
- 红花: 1
- 帖子: 176
- 在线: 80.3小时
- 虫号: 1385856
- 注册: 2011-09-01
- 专业: 计算数学与科学工程计算
5楼2012-11-25 17:14:26
Jeydragon
木虫 (正式写手)
- 应助: 5 (幼儿园)
- 金币: 4611.2
- 散金: 268
- 红花: 11
- 帖子: 993
- 在线: 229.6小时
- 虫号: 966560
- 注册: 2010-03-10
- 专业: 大地测量学

6楼2012-11-25 18:36:47
Jeydragon
木虫 (正式写手)
- 应助: 5 (幼儿园)
- 金币: 4611.2
- 散金: 268
- 红花: 11
- 帖子: 993
- 在线: 229.6小时
- 虫号: 966560
- 注册: 2010-03-10
- 专业: 大地测量学

7楼2012-11-25 18:39:47
xuyx_78
金虫 (小有名气)
- 应助: 39 (小学生)
- 金币: 1714.5
- 红花: 1
- 帖子: 176
- 在线: 80.3小时
- 虫号: 1385856
- 注册: 2011-09-01
- 专业: 计算数学与科学工程计算
8楼2012-11-25 20:01:39
Jeydragon
木虫 (正式写手)
- 应助: 5 (幼儿园)
- 金币: 4611.2
- 散金: 268
- 红花: 11
- 帖子: 993
- 在线: 229.6小时
- 虫号: 966560
- 注册: 2010-03-10
- 专业: 大地测量学

9楼2012-11-25 20:54:33
xuyx_78
金虫 (小有名气)
- 应助: 39 (小学生)
- 金币: 1714.5
- 红花: 1
- 帖子: 176
- 在线: 80.3小时
- 虫号: 1385856
- 注册: 2011-09-01
- 专业: 计算数学与科学工程计算
10楼2012-11-25 22:09:09














回复此楼