| 查看: 912 | 回复: 4 | |
tutututuku铜虫 (小有名气)
|
[求助]
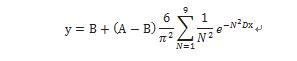
oringin非线性拟合
|
|
|
|
vaughn版主 (知名作家)
|
|
|
2楼2012-09-23 19:29:07
|
|
pzypdl主管区长 (文坛精英)
|
|
![]() |
|
|
3楼2012-09-23 19:52:05
|
|
firefoxming铁杆木虫 (正式写手)
|
|
![]() |
|
|
4楼2012-09-24 09:07:09
|
|
tutututuku铜虫 (小有名气)
|
|
|
5楼2012-09-26 14:34:16
|
|













回复此楼


tutututuku